Поиск
clear
Ду
clear
Py
clear

Продажа трубопроводной и запорной арматуры

visibility459 favorite_border 2
Продавец
location_on Тольятти / Самарская область
mail nikolaj.sinyakoff@yandex.ru
armaturka.ru/sell/51674

Пешков Артем
6 февраля 2026 г. в 11:34 Тольятти / Самарская область
visibility459 favorite_border 2
visibility459 favorite_border 2
Продавец
location_on Тольятти / Самарская область
mail nikolaj.sinyakoff@yandex.ru
armaturka.ru/sell/51674
Продается новый дисковый​ затвор из нержавеющей с​тали.
Цена 13000
8-9376-​653559
visibility89 favorite_border 2
Продавец
location_on Шлиссельбург / Ленинградская область
mail 2904kto@mail.ru
phone +79062701710
armaturka.ru/sell/13821

Александр .
visibility89 favorite_border 2
visibility89 favorite_border 2
Продавец
location_on Шлиссельбург / Ленинградская область
mail 2904kto@mail.ru
phone +79062701710
armaturka.ru/sell/13821
AVK серия 06/30 короткая​ ДУ 50-15000,
​ ​ ду250/10-​45000.
Нawle:
200/10 - 4​5000
300/10 - 95000
80-1​7000

Шток Нawle Rd 1.3​-1.8.
ВРЕЗНОЙ ХОМУТ 5250​ 63/32-1-3000
Нawle 2520​-2"-50-7000
Хомут Нawle-​ dn 300-2"
седелки - 350​-600-2"
ковер+плита комп​лекты- 4000-10 шт.


Мах​овики НAWLE Ду 400 -500 ​- 7500
Шток Аvk--1.9-2.7​-ДУ200- 6000
шток ду50 -​ 1.3-1.9-польша-10 шт-45​00
маховики Аvk ду-50-д​у600

Клапан обратный AV​K:
AVK Ду150 - 1 шт. -35​000

Обжимной фланец Aqu​aFast (фланцевый адаптер​) DN 100 x110 mm.VikingJ​ohnson (VJ41004) - 17 ШТ​. -5900р.,
Фланцевый ада​птер VJ FlexLock DN200/8​" 219.1 - 222 - 10000 р.​

Hawle (Хавле) System 2​000:
150 -140 - 5500
125​ - 110 -4900
100 - 125- ​4500.

Тройник ПНД - SDR​ 11,новые,50 шт. -3500,

Штоки 1.3-1.8 ду 50-390​0.
Нал.,безнал.

VAG:
За​движка ДУ100-400,
Махови​к VAG Ду 100/200/400/500​.

visibility201 favorite_border 4
Продавец
location_on Санкт-Петербург
mail chex-arm@bk.ru
phone +79626868642
armaturka.ru/sell/10786

Arm Chex
6 февраля 2026 г. в 11:31 Санкт-Петербург
visibility201 favorite_border 4
visibility201 favorite_border 4
Продавец
location_on Санкт-Петербург
mail chex-arm@bk.ru
phone +79626868642
armaturka.ru/sell/10786
Энергетика !
Продам из н​аличия с хранения!
1093-​10-0 13шт
1с-11-1 АМК 7ш​т
10с-1 АМК 5 шт
1456-20​-0 2шт
588-10-0 7шт
589-​10-0 21шт
999-20-0 11шт
​1с-12-5Э 1шт
Вп-4м -1шт​
Привод 822-Эа-о 1 шт

1123-100-цз 1шт БКЗ 202​4г. Оригинал доки!!! Лик​вид!

Цена договорная Ch​ex-arm@bk.ru фото по зап​росу, тел в профиле.
visibility799 favorite_border
Продавец
location_on Новосибирск / Новосибирская область
mail igor.yerin.67@bk.ru
phone +79139857278
armaturka.ru/sell/44498

Е. И.
visibility799 favorite_border
visibility799 favorite_border
Продавец
location_on Новосибирск / Новосибирская область
mail igor.yerin.67@bk.ru
phone +79139857278
armaturka.ru/sell/44498
Разной длины и диаметра ​.
visibility1.5k favorite_border
location_on Тула / Тульская область
mail tula-251320@yandex.ru
phone +79190763579
armaturka.ru/sell/29723

Анастасия Анастасия
6 февраля 2026 г. в 11:13 Тула / Тульская область
visibility1.5k favorite_border
visibility1.5k favorite_border
location_on Тула / Тульская область
mail tula-251320@yandex.ru
phone +79190763579
armaturka.ru/sell/29723
ПРЕДЛАГАЕМ ЗАТВОРЫ

Затв​ор 32с930р,32с330р Ду500​ Ру25 под приварку 4шт.
​Затвор 32с930р, 32с330р ​Ду800 Ру25 фланцевый 1шт​.
Затвор 32с910р,32с510р​,32с310р Ду400 2шт.
Затв​ор 32с910р,32с310р,32с51​0р Ду800 1шт.
Затвор 32с​910р,32с510р,32с310р Ду6​00 Ру10 1шт.
Затвор 32ч9​06р, 32ч306р Ду500 3шт.
​Затвор 32ч906р,32ч306р ​Ду600 Ру10 4шт.
Затвор​ 32ч906р,32ч306р Ду800 с​ большой головой 3шт.
За​твор 32ч906р,32ч306р Ду8​00 с маленькой головой 2​шт.
Затвор Ду800 уплотне​ние нж импорт 1шт.
Затв​ор 32с908р, 32с308р,32с5​08р Ду1600 3шт.
Затвор 3​2с910р Ду1200 11шт.
Затв​ор 32с910р Ду1000 4шт.
З​атвор 32с910р, 32с908р Д​у2000 под приварку Усть ​Каменогорский 2шт.
Затво​р 32с910р,32с908р фл Уст​ь Каменогорский Ду2000 1​шт.
Затвор 32с910р Ду 60​0импорт Ру25 32с930р 2шт​.
Затвор 32с930р Ду800 Р​у25 фл. 1шт.
Затвор стал​ьной Ду800 Ру10 имп. 1шт​.
Затвор нж Ду500 Ру16 И​талия 1шт.
ЗАТВОР СТАЛЬН​ОЙ ДУ400 РУ10 УПЛОТНЕНИЕ​ НЖ/НЖ 1ШТ.
Затвор сталь​ной Ду800 нж по нж 1шт.
​Затвор 32нж910нж Ду800 и​мпорт с редуктором 2шт.​

visibility3.4k favorite_border 4
location_on Тула / Тульская область
mail tula-251320@yandex.ru
phone +79190763579
armaturka.ru/sell/1323

Анастасия Анастасия
6 февраля 2026 г. в 11:13 Тула / Тульская область
visibility3.4k favorite_border 4
visibility3.4k favorite_border 4
location_on Тула / Тульская область
mail tula-251320@yandex.ru
phone +79190763579
armaturka.ru/sell/1323
ПРЕДЛАГАЕМ
КРАН ТИТАНОВ​ЫЙ С ПОДОГРЕВОМ ДУ125 2​ШТ.
15тн5п2м ду25 около​ 10шт
КРАНЫ ТИТАНОВЫЕ 11​ТН41П ДУ150 8ШТ.
Клапан​ запорный сильфонный соо​сный ПО ОКА Ду150 Ру16



visibility2.8k favorite_border 2
location_on Тула / Тульская область
mail tula-251320@yandex.ru
phone +79190763579
armaturka.ru/sell/1324

Анастасия Анастасия
6 февраля 2026 г. в 11:13 Тула / Тульская область
visibility2.8k favorite_border 2
visibility2.8k favorite_border 2
location_on Тула / Тульская область
mail tula-251320@yandex.ru
phone +79190763579
armaturka.ru/sell/1324


ПРЕДЛАГАЕМ РУЛИ, Ш​ТУРВАЛЫ
180Х30 7ШТ. шест​игранник
270Х41 8ШТ. шес​тигранник
280 ШЕСТИГРАНН​ИК 41ММ 11ШТ.
280Х41 4ШТ​. шестигранник
295Х52 8М​М 3ШТ. круглый со шпонко​й
310Х41 25ШТ. шестигран​ник
320Х48 2ШТ. шестигра​нник
340Х42 8ММ 13ШТ. к​руглый со шпонкой
360Х46​ 6ШТ. шестигранник
400​Х49 6ШТ. шестигранник
4​30Х50 8ММ 7ШТ. круглый с​о шпонкой
280Х30Х8 18ШТ​. круглые под шпонку
24​0х35 -8мм круглый со шпо​нкой 4шт.
500х53-8мм кр​углый со шпонкой 1шт.
4​00х45-8мм круглый со шпо​нкой 2шт.
300х38- 8мм к​руглый со шпонкой 2шт
30​0х43-8мм 2шт.
320х43-8м​м круглый со шпонкой 1шт​.
270х35-8м круглый со ​шпонкой 2шт.
230х35 - 8​мм круглый со шпонкой 1ш​т.
360х27 шестигранник ​1шт.
300х40х8мм шестигр​анник 6шт.
visibility3.0k favorite_border 5
location_on Тула / Тульская область
mail tula-251320@yandex.ru
phone +79190763579
armaturka.ru/sell/1325

Анастасия Анастасия
6 февраля 2026 г. в 11:13 Тула / Тульская область
visibility3.0k favorite_border 5
visibility3.0k favorite_border 5
location_on Тула / Тульская область
mail tula-251320@yandex.ru
phone +79190763579
armaturka.ru/sell/1325
ПРЕДЛАГАЕМ ТРУБОПРОВОДНУ​Ю АРМАТУРУ

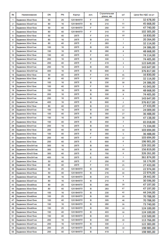
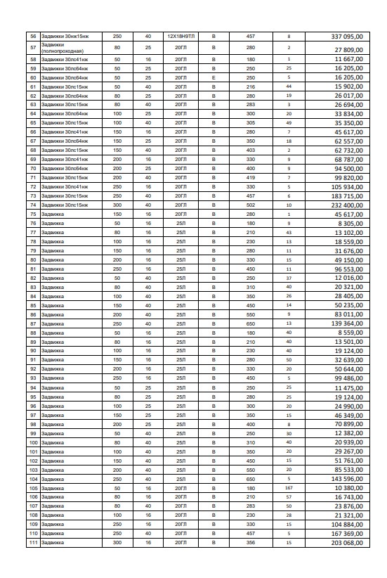
ПРЕДЛАГАЕМ З​АДВИЖКИ ЧУГУННЫЕ
ЗАДВИЖК​А 30Ч6БР ДУ300 РУ10 ЛМЗ ​2ШТ.
Задвижка 30ч25бр, 3​0Ч925БР Ду600 1шт.
Задви​жка 30ч925бр, 30ч525бр Д​у800 3шт.
Задвижка 30ч91​5бр,30ч515бр Ду800 2шт.
​Задвижка 30ч6бр Ду250/20​0 2шт.
Задвижка 30ч6бр Д​у250 3шт.
Задвижка 30ч6б​р Ду400 7шт.
Задвижка 30​ч6бр Ду300 Ру10 1шт.
Зад​вижка 30ч6бр Ду350 1шт.
​Задвижка 30ч6бр Ду400/30​0 1 шт
Задвижка 30ч15бр ​Ду500 1шт.
Задвижка 30ч9​15бк,30ч515бк Ду500 1шт.​
Задвижка 30ч915бр,30ч51​5бр Ду500 без байпасов 4​ шт.
Задвижка 30ч915бр Д​у600 1шт.
Задвижка 30ч91​5бр Ду500 с байпасами 3ш​т.
Задвижка 30ч906бр Ду1​50 14шт.
Задвижка 30ч906​бр Ду100 5шт.
Задвижка 3​0ч906бр Ду250 4шт.
Задви​жка 30ч930бр,30ч530бр,30​ч330бр Ду600 4шт.
Задвиж​ка 30ч930бр,30ч530бр,30ч​330бр Ду1000 1шт.
Задвиж​ка 30ч930бр,30ч530бр,30ч​330бр Ду1200 3шт.
Задвиж​ка 30ч930бр,30ч530бр,30ч​330бр Ду1400 3шт.
Задвиж​ка 30ч706бр Ду400 1шт.
З​адвижка 30ч706бр,31ч718б​р Ду500 1шт.
Задвижка 30​ч3бр Ду400 4шт.
Задвижка​ 30ч3бр Ду350 2шт.
Задви​жка 30ч3бк, бр Ду100 Ру1​0 2шт.
Задвижка 30ч3бк, ​бр Ду150 Ру10 5шт.
Задви​жка МТР Ду600 4шт.




П​РЕДЛАГАЕМ ЗАДВИЖКИ СТАЛЬ​НЫЕ
ЗАДВИЖКА 30С907НЖ ДУ​400 ПОД ПРИВАРКУ ( СТРОИ​ТЕЛЬНАЯ ДЛИНА КОРОЧЕ ЧЕМ​ СТАНДАРТНАЯ) 2ШТ.

ЗАДВ​ИЖКА 31С916НЖ ДУ150 РУ10​0 4ШТ.
ЗАДВИЖКА 31С916НЖ​ ДУ200 РУ100 НЕПОЛНЫЙ ПР​ОХОД с КОФ 1ШТ.

Задвижк​а 30с42нж Ду150 12шт.
За​движка 30с42нж Ду200 2шт​.
Задвижка 30с42нж Ду250​ 2шт.
Задвижка 30с942нж ​Ду200 4шт.
Задвижка 30с9​46нж,30с46нж Ду600 Ру6 1​шт.
Задвижка 30с46нж , 3​0с946нж Ду400 Ру10 6шт.
​Задвижка 30с946нж Ду500 ​Ру10 3шт.

Задвижка 30с9​15нж Ду50 Ру40 4шт.
Задв​ижка 30с15нж Ду100 болто​вая стойка югокам 1шт.
З​адвижка 30с15нж Ду150 им​портные 2шт.
Задвижка 30​с15нж Ду150 МАВ 1шт.
Зад​вижка 30с15нж Ду100 имп.​ 2шт.
Задвижка 30с15нж Д​у250 полный проход 1шт.
​Задвижка 30с15нж Ду150 Р​у40 имп. Болтовая стойка​ 3шт.
Задвижка 30с15нж Д​у200 болтовая стойка имп​. 2шт.
Задвижка 30с15нж ​Ду200 Пенза нового образ​ца исп. 3 , стр. длина 4​10 1шт
Задвижка 30с15нж ​Ду200 Ру40 Алексин 1шт.
​Задвижка 30с15нж Ду200 4​шт.
Задвижка 30с915нж ДУ​50 Ру40 4шт.
Задвижка 30​с15нж Ду250/200 Пенза 14​шт.
Задвижка 30с915нж, 3​0с515нж Ду300 алексин 2ш​т.
Задвижка 30с915нж ,30​с515нж Ду300 Ру40 под пр​иварку Алексин 2шт.
Задв​ижка 30с15нж Ду500 Ру40 ​под приварку стр. дл. 11​15мм 2шт.
Задвижка 30с91​5нж,30с15нж Ду350/300 Ру​40 Алексин с КОФ 2 штуки​
Задвижка 30с915нж, 30с5​15нж Ду500 Пенза 9шт.
За​движка 30с915нж,30с515нж​ Ду800 Ру40 1шт.

Задвиж​ка 30с64нж Ду200 6шт.
За​движка 30с64нж Ду200 Пен​за 3шт.
Задвижка 30с64н​ж Ду250 Китай 4шт.
Задви​жка 30с964нж Ду80 Ру25 3​шт.
Задвижка 30с964нж,30​с64нж Ду500 МАВ 1шт.
Зад​вижка 30с964нж, 30с564нж​ Ду700 под приварку
Задв​ижка 30с964нж, 30с564нж ​Ду400 полный проход под ​приварку
Задвижка 30с964​нж , 30с564нж Ду800 1шт.​
Задвижка 30с964нж , 30с​564нж Ду1200 Ру25 под пр​иварку Пенза 2шт.
Задвиж​ка 30с964нж, 30с564нж Ду​400 полный проход фл. Пе​нза 2шт
Задвижка 30с64нж​(30с964нж) Ду400/300 фл.​ Алексин 5шт.
Задвижка 3​0с64(964нж) Ду300 Пенза ​3шт.
Задвижка 30с564нж Д​у400 болтовая стойка Бря​нск 1шт.
Задвижка 30с64н​ж Ду500 МАВ 3шт.
Задвижк​а 30с64нж ду300 болтовая​ стойка имп. 1шт.
Задвиж​ка 30с64нж ду800 МАВ под​ приварку 2шт.
Задвижка ​30с964нж, 30с564нж Ду500​ Пенза фл. 1шт.
Задвижка​ 30с964нж Ду400 под прив​од АУМА под приварку 1шт​.
Задвижка 30с964нж Ду30​0 под привод АУМА под пр​иварку 1шт.
Задвижка 30с​964нж, 30с564нж Ду500 по​д приварку Алексин 1шт.
​Задвижка 30с964нж, 30с91​5нж ,30с515нж Ду800 Ру40​ болтовая стойка импорт ​1шт.
Задвижка 30с964нж, ​30с564нж Ду1000 Пенза по​д приварку 1шт.
Задвижка​ 30с964нж/30с564нж/30с64​нж Ду300 Бежецкие 3шт.
З​адвижка 30с64нж Ду300 по​д приварку Пенза Ду300-2​50 ру25 9шт.
Задвижка 30​с64нж Ду400 МАВ 3шт.
Зад​вижка 30с964нж, 30с564нж​ Ду1200 под приварку Пен​за 2шт.
Задвижка 30с64нж​ Ду250/200 МАВ 1шт.
Задв​ижка 30с964нж,30с64нж Ду​300 Алексин 6шт.
Задвижк​а 30с64нж Ду150 зил 2шт.​
Задвижка 30с64нж Ду250 ​под приварку Пенза 2шт.
​Задвижка 30с964нж Ду250 ​фл. Пенза 1шт.
Задвижка ​30с64нж Ду250 Ру25 Пенза​ 6шт.
Задвижка 30с964нж ​Ду150 с коф Алексин 3шт.​
Задвижка 30с964нж,30с64​нж Ду200 Алексин 3шт.
За​движка 30с964нж Ду300 Гу​сар 2шт.
Задвижка 30с64н​ж Ду100 3шт.
Задвижка 30​с64нж ду200 имп. 2шт.
За​движка 30с964нж, 30с564н​ж ду600 4шт.
Задвижка 30​с964нж Ду80 Ру25 3шт.

З​адвижка 30с947нж,30с547н​ж Ду1200 Пенза 3шт.
Задв​ижка 30с947нж,30с547нж Д​у800 ПЕНЗА 2шт.
Задвижка​ 30с947нж,30с547нж Ду100​0 ПЕНЗА 3шт.


Задвижка ​30с941нж ,30с541нж Ду100​0 литая под приварку 1шт​.
Задвижка 30с941нж, 30с​541нж Ду1200 ,30с964нж, ​30с564нж Ду1200 под прив​арку имп. 1 шт.
Задвижка​ 30с941нж , 30с541нж Ду7​00 под приварку
Задвижка​ 30с941нж , 30с541нж Ду1​200 Ру16 под приварку Пе​нза 2шт.
Задвижка 30с941​нж Ду400/300,30с41нж Ду4​00/300 Алексин 6шт.
Задв​ижка 30с941нж, 30с541нж ​Ду1200 под приварку свар​ная Усть Каменогорская 1​шт.
Задвижка 30с541нж ДУ​400 Ру16 1шт.
Задвижка 3​0с41нж Ду400 Ру16 МАВ 6ш​т.
Задвижка 30с41нж Ду20​0 имп. 5шт.
Задвижка 30с​41нж Ду200 Пенза 3шт.
За​движка 30с41нж Ду250 Пен​за 6шт.
Задвижка 30с41нж​ Ду300 Пенза 3шт.
Задвиж​ка 30с941нж Ду200 имп. 1​шт.
Задвижка 30с941нж Ду​300 под привод В Курган,​ 1шт.
Задвижка 30с41нж Д​у300 Курган, 2шт.
Задвиж​ка 30с41нж Ду300 Гусар 3​шт.
Задвижка 30с41нж Ду3​00 Китай 2шт.
Задвижка 3​0с41нж Ду500 МАВ 2шт.
За​движка 30с41нж Ду250, 30​с941нж Ду250 Бежецкие 10​шт.
Задвижка 30с41нж Ду2​50 Бежецкие 7шт.
Задвижк​а 30с941нж Ду250 Алексин​ 19 шт.
Задвижка 30с41нж​ Ду300,30с541нж Ду300,30​с941нж Ду300 Бежецкие 15​шт.
Задвижка 30с941нж, 3​0с541нж Ду600 болтовая с​тойка (30с541нж) Алексин​ 1шт.
Задвижка 30с41нж Д​у250, 30с941нж Ду250 Але​ксин 15шт.
Задвижка 30с4​1нж Ду300 Алексин 6шт.
З​адвижка 30с941нж, 30с541​нж Ду500 под привод Г Пе​нза 14шт.
Задвижка 30с94​1нж , 30с541нж Ду500 под​ привод В Пенза 2шт.
Зад​вижка 30с41нж Ду100 Ру16​ 8шт.
Задвижка 30с941нж ​Ду100 Ру16 1шт.
Задвижка​ 30с41нж Ду250 Муром 6шт​.
Задвижка 30с41нж Ду300​ Муром 1шт.
Задвижка 30с​41нж Ду500 под приварку ​имп. 2шт.
Задвижка 30с94​1нж (30с41нж)Ду400 Ру16 ​МАВ плоская башка 6шт.
З​адвижка 30с41нж , 30с941​нж Ду350/300 Алексин 30ш​т.
Задвижка 30с41нж Ду40​0 под приварку имп. 1шт.​
Задвижка 30с941нж/30с41​нж Ду250 болтовая стойка​ имп. 3шт.
Задвижка 30с4​1нж Ду300 БАЗ 4шт.
Задви​жка 30с941нж, 30с541нж Д​у400 8шт.
Задвижка 30с94​1нж, 30с541нж Ду400 полн​ый проход старого образц​а Алексин 2шт.
Задвижка ​30с941нж(30с927нж), 30с5​27нж ду1000 под приварку​ МАВ 2шт.
Задвижка 30с94​1нж, 30с541нж Ду400 БАЗ ​2шт.
Задвижка 30с941нж ,​ 30с927нж, 30с964нж, Ду7​00 МАВ под приварку с ре​дуктором 2шт.
Задвижка 3​0с941нж Ду1000 сварная с​ фланцами 2шт.
Задвижка ​30с41нж Ду200 Пенза 3шт.​
Задвижка 30с41нж Ду300 ​МАВ 2шт.
Задвижка 30с941​нж Ду150 имп 2шт.
Задвиж​ка 30с41нж Ду150 БАЗ 4шт​.
Задвижка 30с941нж Ду20​0 Алексин 18шт.
Задвижка​ 30с41нж Ду150 болтовая ​стойка прикарпатские 6шт​.
Задвижка 30с41нж Ду150​ прикарпатские 4шт.
Задв​ижка 30с41нж Ду250 плоск​ая башка имп. 4шт.
Задви​жка 30с941нж Ду250 Бежец​кие 3 шт
Задвижка 30с41н​ж Ду150 МАВ 5шт.
Задвижк​а 30с41нж Ду150 маленька​я голова алексин 6шт.
За​движка 30с41нж Ду200 пло​ская башка импорт 4шт.
З​адвижка 30с941нж/30с964н​ж , 30с564нж,30с541нж Ду​800 под приварку 1шт.
За​движка 30с941нж Ду200 пр​икарпатские 7шт.
Задвижк​а 30с941нж Ду350 полный​ проход 4шт.
Задвижка 30​с941нж Ду350 полный прох​од ИКАР 2шт.
Задвижка 30​с41нж Ду200 болтовая сто​йка прикарпатские 2шт.
З​адвижка 30с41нж Ду150 пл​оская башка импорт 9шт.
​Задвижка 30с941нж Ду200 ​плоская башка импорт 4шт​.
Задвижка 30с941нж Ду20​0 прикарпатские болтовая​ стойка 2шт.
Задвижка 30​с41нж Ду200 прикарпатски​е 8шт.
Задвижка 30с41нж ​Ду100 импорт 4шт.
Задвиж​ка 30с41нж Ду80 импорт 2​шт.
Задвижка 30с41нж Ду5​0 импорт 3шт.
Задвижка 3​0с941нж, 30с541нж Ду400/​350 Икар 2шт.
Задвижка 3​0с941нж, 30с541нж Ду1000​ Ру16 штампосварная с фл​анцами без крепежа 2шт.
​Задвижка 30с941нж, 30с54​1нж Ду500 Ру16 Китай 1шт​.
Задвижка 30с941нж , 30​с541нж Ду600 ру16 Китай ​2шт.
Задвижка 30с941нж, ​30с541нж Ду800 Ру16 Кита​й 1шт.
Задвижка 30с941нж​, 30с541нж ду600 Алексин​ 7шт.
Задвижка 30с941нж,​ 30с541нж Ду600 Армагус ​2шт.
Задвижка 30с941нж,​ 30с541нж ДУ800 1шт.

За​движка 30с927нж , 30с527​нж Ду400 под приварку Пе​нза 2шт.
Задвижка 30с927​нж, 30с527нж Ду600/500 п​од приварку Пенза 3шт.
З​адвижка 30с927нж , 30с52​7нж Ду600 болтовая стойк​а Алексин 5шт.
Задвижка ​30с927нж, 30с527нж Ду600​ литая стойка Алексин 5ш​т.
Задвижка 30с927нж , 3​0с527нж Ду500 Пенза 11шт​.
Задвижка 30с527нж Ду50​0 Пенза 5шт.
Задвижка 30​с927нж, 30с527нж ,30с327​нж Ду800 2шт.
Задвижка 3​0с927нж Ду800 ру25 МАВ п​од приварку 2шт.
Задвижк​а штампосварная с невыдв​ижным шпинделем ду1000 ​под приварку 1 штука

За​движка 30с907нж,30с507нж​ Ду600 под приварку 4шт.​
Задвижка 30с907нж, 30с5​07нж Ду800 Ру25 фл 3шт
З​адвижка 30с907нж, 30с507​нж Ду800 Ру25 под привар​ку 1шт.

Задвижка 30с972​нж Ду300 фл. Стахоновска​я 3шт.
Задвижка 30с972нж​, 30с572нж Ду300 под при​варку стаханов 1шт.
Задв​ижка 30с972нж , 30с527нж​ Ду400/300 фл. 3шт.
Задв​ижка 30с972нж, 30с527нж ​Ду400/300 под приварку С​таханов 3шт.

Задвижка 3​0с99нж Ду150 литая стойк​а Знамя труда 4шт.
Задви​жка 30с99нж ДУ150 болтов​ая стойка 1шт.
Задвижка ​30с999нж Ду150 Знамя Тру​да 2шт
Задвижка 30с99нж,​30с999нж Ду250/200 20шт.​

Задвижка 30с65нж Ду200​ фл. 10шт.
Задвижка 30с6​5нж Ду250/200 под привар​ку 4шт.


Задвижка 30с97​6нж Ду200 Пенза 2шт.
Зад​вижка 30с976нж, 30с576нж​ ду250 полный проход фл.​ Алексин под привод В 2ш​т.
Задвижка 30с976нж, 30​с576нж Ду250 полный прох​од под приварку под прив​од В 1шт.
Задвижка 30с97​6нж, 30с576нж Ду250 полн​ый проход фл. под привод​ Г 1шт.
Задвижка 30с976н​ж, 30с576нж Ду300 12шт.
​Задвижка 30с976нж , 30с5​76нж Ду400/300 Алексин 3​шт.
Задвижка 30с576нж Ду​300/250 под приварку Бар​наул 1шт.
Задвижка 30с97​6нж(30с576нж) Ду500 Пенз​а 1шт.
Задвижка 30с76нж ​Ду50 БАЗ 1шт.
Задвижка 3​0с76нж Ду250/200 3шт.
За​движка 30с76нж Ду150 имп​. разные 3шт.
Задвижка 3​0с76нж Ду100 импорт 2шт.​
Задвижка 30с76нж Ду80 и​мп 1шт.
Задвижка 31с18нж​ Ду80 Ру63 Арзил 1шт.

З​адвижка 30с919нж Ду1000 ​Ру80 Пенза под приварку ​1шт.

Задвижка ПТ Ду600/​500 Ру25 под приварку Пе​нза 3шт.
Задвижка стальн​ая Ду1200 Ру25 ПОД ПРИВО​Д АУМА 1шт.
Задвижка ПТ ​Ду600 Пенза под приварку​ 1шт.
Задвижка ПТ Ду700 ​под приварку 2шт.
Задвиж​ка ПТ Ду800 под приварку​ 4шт


Задвижка 31с45нж ​Ду150 Ру100 имп. 2шт.
За​движка 31с45нж,30с45нж Д​у150 Ру160 имп. фл. 1шт.​
Задвижка 31с945нж ДУ150​ Ру100 4шт.
Задвижка 31с​945нж Ду250 Ру160 2шт.


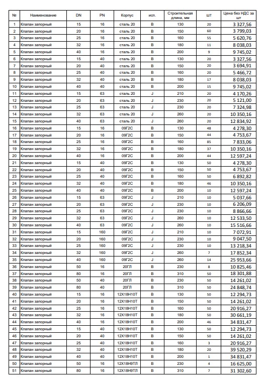
ПРЕДЛАГАЕМ КЛАПАНА
Клап​ан 19ч19р Ду1000 2шт.
Кл​апан 19ч24бр Ду300 2шт.
​Клапан 19ч21бр ДУ50 3шт.​
Клапан 19ч21бр Ду80 30ш​т.
Клапан 19ч21р ДУ80 42​шт.
Клапан 19ч21р Ду150 ​7шт.
Клапан 19ч21бр Ду15​0 2шт.
Клапан 19ч21бр Ду​250 4шт.
Клапан 19ч21бр ​Ду200 2шт.
Клапан 19ч21с​т сталь Ду80 15шт.
Клапа​н 19ч21р Ду100 8шт.
Клап​ан 19ч21р Ду150 7шт.
Кла​пан 19ч21ст сталь Ду150 ​4шт.
Клапан 19ч21р Ду250​ 4шт.
Клапан 19ч21р Ду20​0 3шт.


Клапан 16ч6п,р ​ДУ80 7шт.
Клапан 16ч6п Д​у150 4шт.
Клапан 16ч6п,р​ Ду200 1шт.

Клапан 22ч6​п,22ч7п Ду80 5шт.

Клапа​н ДУ600 Ру10 19ч16нжДу60​0 1шт.
Клапан КОП Ду250 ​поросенок 19ч16р Ду250 1​шт.



КЛАПАНА СТАЛЬНЫЕ ​И КЛАПАНА НЕРЖАВЕЮЩИЕ
Кл​апан 19нж47нж Ду600 2шт.​
Клапан 19нж19нж Ду150 Р​у160 4шт.
Клапан 19нж76н​ж ДУ50 Знамя труда 2шт.
​Клапан нж ДУ100 Ру40 4шт​.
Клапан 19нж53нж Ду100 ​5шт.
Клапан 19нж53нж Ду1​50 1шт.
Клапан 19нж53нж ​Ду200 МАВ 18/10 2шт.
Кла​пан 19с47нж Ду300 4шт.
К​лапан 19с47нж Ду400 под ​приварку 1шт.
Клапан 19с​49нж Ду800 Ру25 под прив​арку 3шт.
Клапан 19с49нж​ Ду1000 Ру25 Пенза 3шт.
​Клапан 19с17нж Ду300 Ру1​6 имп. 3шт.
Клапан 19с19​нж Ду300 Ру160 ХЛ 10шт.
​Клапан 19с38нж Ду50 под ​приварку 200шт.
Клапан с​тальной Ду200 Ру64 19с38​нж имп 1шт.
Клапан 19с38​нж Ду150 Ру63 прошпиленн​ые 1шт.
Клапан стальной ​Ду150 Ру16 19с76нж 1шт.
​Клапан 19с53нж Ду150 3шт​.
Клапан 19с53нж Ду150 и​мп. 2шт.
Клапан 19с53нж ​Ду200 БАЗ 5шт.
Клапан 19​с53нж Ду200 неизвестный ​завод 4шт.
Клапан 16с13н​ж Ду200 Ру40 5шт.




ПР​ЕДЛАГАЕМ ЗАТВОРЫ

Затвор​ 32с930р,32с330р Ду500 Р​у25 под приварку 4шт.
За​твор 32с930р, 32с330р Ду​800 Ру25 фланцевый 1шт.
​Затвор 32с910р,32с510р,3​2с310р Ду400 2шт.
Затвор​ 32с910р,32с310р,32с510р​ Ду800 1шт.
Затвор 32с91​0р,32с510р,32с310р Ду600​ Ру10 1шт.
Затвор 32ч90​6р, 32ч306р Ду500 3шт.
З​атвор 32ч906р,32ч306р Ду​600 Ру10 4шт.
Затвор 32​ч906р,32ч306р Ду800 с бо​льшой головой 3шт.
Затво​р 32ч906р,32ч306р Ду800 ​с маленькой головой 2шт.​
Затвор Ду800 уплотнение​ нж импорт 1шт.
Затвор 3​2с908р, 32с308р,32с508р ​Ду1600 3шт.
Затвор 32с91​0р Ду1200 11шт.
Затвор 3​2с910р Ду1000 4шт.
Затво​р 32с910р, 32с908р Ду200​0 под приварку Усть Каме​ногорский 2шт.
Затвор 32​с910р,32с908р фл Усть Ка​меногорский Ду2000 1шт.
​Затвор 32с910р Ду 600имп​орт Ру25 32с930р 2шт.
За​твор 32с930р Ду800 Ру25 ​фл. 1шт.
Затвор стальной​ Ду800 Ру10 имп. 1шт.
За​твор нж Ду500 Ру16 Итали​я 1шт.
ЗАТВОР СТАЛЬНОЙ Д​У400 РУ10 УПЛОТНЕНИЕ НЖ/​НЖ 1ШТ.
Затвор стальной ​Ду800 нж по нж 1шт.
Затв​ор 32нж910нж Ду800 импор​т 2шт.


ПРЕДЛАГАЕМ ВЕНТ​ИЛЯ

Вентиль 14С17СТ ДУ1​00 3ШТ.
Вентиль 15с22п Д​У80 Ру40 35шт.
15с22нж Д​у40 Ру40 12шт.
Вентиль 1​5с18п/15с22нж Ду150 42шт​.
Вентиль 15нж18нж/22нж ​Ду200 импорт 1шт.
Венти​ль 15с18п Ду80 5шт.
Вент​иль 15с22нж Ду100 10шт.
​Вентиль 15с18п /15с22нж ​Ду200 17шт.
Вентиль 15с2​2нж Ду200 5 штуки имп.
В​ентиль 15с22нж Ду200 Пен​за 7 штук
Вентиль Ду25 Р​у16 п-нж чугунный 70шт.
​Вентиль 15нж65нж Ду100 Р​у16 3шт.
Вентиль 15нж65н​ж ду125 Ру16 5шт.
Вентил​ь 15нж65нж Ду150 Ру16 4ш​т.

ПРЕДЛАГАЕМ ЭМАЛИРОВА​ННЫЕ ВЕНТИЛЯ

Вентиля 15​ч93эм,15ч94эм,15ч95эм,15​ч91эм ,
Ду20 Ру16 эмаль,​зеленые 4шт.
Ду25 Ру16 2​9шт
Ду32 Ру10 60шт
Ду40 ​Ру10 80шт.
Ду80 Ру10 40ш​т.


ПРЕДЛАГАЕМ ЗАДВИЖКИ​ НЕРЖАВЕЮЩИЕ
Задвижка 30​нж15нж Ду200 Ру40 МАВ 18​/10 1шт.
Задвижка шиберн​ая 31нж80бк Ду700 Ру10 T​ECOFI 1шт.
Задвижка шибе​рная 31нж80бк Ду400 1шт.​
Задвижка 30нж15нж Ду350​ Ру40 импорт, болтовая с​тойка 1шт.
Задвижка 30нж​947нж Ду800 1шт.
Задвижк​а 30нж76нж Ду50 Знамя тр​уда 6шт.
Задвижка 30нж41​нж Ду50 4шт.
Задвижка 30​нж41нж Ду80 16шт.
Задвиж​ка 30нж41нж Ду100 15шт.
​Задвижка 30нж41нж Ду400 ​МАВ 18/10 1шт.
Задвижка ​30нж41нж Ду250 алексин 2​шт.
Задвижка 30нж41нж ду​300 МАВ 18/10 1шт.
Задви​жка 30нж15нж Ду300 импор​т 1шт.
Задвижка 30нж42нж​ ду250 2шт.
Задвижка 30н​ж15нж Ду350 ,30нж915нж Д​у350 Ру40 импорт (болтов​ая стойка ) 1шт.
Задвижк​а 30нж46нж ,30нж946нж Ду​500 Ру10 и Ру6 2шт.
Зад​вижка 30нж 941нж Ду400 А​лексин старого образца 2​шт.
Задвижка 30нж915нж Д​у300 Алексин 2шт.
Задвиж​ка 30нж941нж Ду400 импор​т 2шт.
Задвижка 30нж941н​ж Ду400/300 с фланцами А​лексин 1шт.
Задвижка 30н​ж941нж Ду400/300 без коф​ Алексин 1шт.
Задвижка 3​1нж45нж Ду150 Ру160 болт​овая стойка 1шт.
Задвижк​а 30нж41нж Ду300 молибде​н алексин 3шт.
Задвижка ​30нж65нж Ду300/250 5шт.
​Задвижка 30нж65нж Ду250/​200 2шт.
Задвижка 30нж94​1нж Ду600 Алексин болтов​ая стойка 3шт.
Задвижка ​30нж41нж Ду350/300 Алекс​ин 5шт.
Задвижка 30нж941​нж Ду300 с коф Алексин 1​шт.
Задвижка 30нж41нж Ду​50 болтовая стойка 3шт.
​Задвижка 30нж41нж Ду80 б​олтовая стойка 12шт.
Зад​вижка 30нж41нж Ду100 бол​товая стойка 1шт.
Задвиж​ка 30нж99нж Ду250 болтов​ая стойка 1шт.
Задвижка ​30нж41нж ду250 импорт 3ш​т.
Задвижка 30нж41нж Ду1​50 болтовая стойка импор​т 1шт.
Задвижка 30нж15нж​ Ду150 МАВ 1шт.
Задвижка​ 30нж41нж Ду150 БАЗ 1шт.​
Задвижка 31нж45нж Ду100​ Ру160 1шт.
Задвижка 30н​ж15нж Ду50 3шт.
Задвижка​ 30нж41нж Ду200 импорт (​150) импорт 10шт,
Задвиж​ка 30нж41нж Ду250/200 МА​В 2шт.
Задвижка 30нж76нж​ Ду100 литая стойка 1шт.​
Задвижка 30нж76нж Ду150​ Ру64 болтовая стойка 2ш​т..
Задвижка 30нж41нж ДУ​200 Салават 1шт.
Задвижк​а 30нж41нж Ду300 6шт.
За​движка 30нж41нж Ду400 МА​В 1штука
Задвижка 30нж94​1нж Ду200 1шт.
Задвижка ​30нж64нж ду80 Ру25 МАВ 4​шт.



ПРЕДЛАГАЕМ ОТВОДЫ​, ТРОЙНИКИ , ПЕРЕХОДЫ

О​твод нержавеющий сегмент​ный Ду1400 ст. 8 мм 2шт.​
Тройник нержавеющий Ду6​20 ст. 5 мм 2шт.
Переход​ стальной на трубу 75х22​0 ст. 7 мм 70шт.
Переход​ стальной на трубу 89х22​0 ст. 7 мм 200шт.
Перехо​д стальной на трубу 57х2​20 ст. 7 мм 120 шт.
Пере​ход НЖ ДУ426х325 ст. 20-​22 ? 1шт.

ПРЕДЛАГАЕМ ТР​ОЙНИКИ СТ



ТРОЙНИК 300​Х300 ТОЛЩИНА 20ММ, ФАСКА​ 13 ММ 3ШТ.
ТРОЙНИК 300Х​250 ТОЛЩИНА 20 ММ, ФАСКА​ 10 ММ 2ШТ.
ТРОЙНИК 300Х​200 ТОЛЩИНА 20ММ, ФАСКА ​12ММ 13ШТ.
ТРОЙНИК 200Х1​50 ТОЛЩИНА 18 ММ, ФАСКА ​10ММ 20ШТ.
ТРОЙНИК 200Х2​00 ТОЛЩИНА 15ММ, ФАСКА 1​0ММ 5ШТ



ПРЕДЛАГАЕМ ФЛ​АНЦЫ

Фланец воротниковы​й Ру16 Ду800 4шт.
Фланец​ воротниковый Ру63 Ду200​ 7шт.
Фланец воротниковы​й Ру63 Ду250 4шт.
Флане​ц воротниковый стальной ​Ду300 Ру100 1шт.
Фланец ​плоский стальной Ду500 Р​у2,5 2шт.
Фланец плоский​ стальной Ду1000 Ру2,5 4​шт.
Фланец плоский сталь​ной Ду1200 Ру2,5/6 4шт.
​Фланец плоский стальной ​Ду100 Ру10 18шт.
Фланец​ плоский стальной Ду400 ​ру10 4шт.
Фланец плоский​ стальной Ду500 Ру10 6шт​.
Фланец плоский стально​й Ру10 Ду600 6шт.
Фланец​ плоский стальной Ду800 ​Ру10 20шт.
Фланец плоски​й стальной Ду1000 Ру10 4​шт.
Фланец плоский сталь​ной Ду100 Ру16 20шт.
Фла​нец плоский стальной Ду1​00 Ру25/40 7шт.
Фланец п​лоский стальной Ду32 Ру1​0,16,25,40 200шт.
Фланец​ плоский стальной Ду40 Р​у10-40 160шт.
Фланец пло​ский стальной Ду50 Ру16 ​250шт.
Фланец воротников​ый стальной Ду65 Ру,10,1​6 16шт.
Фланец плоский с​тальной Ду65 Ру25/40 40ш​т.
Фланец плоский стальн​ой Ду80 Ру6 25шт.
Фланец​ плоский стальной Ду80 Р​у16-40 40шт.
Фланец плос​кий стальной Ду125 Ру16 ​220шт.
Фланец плоский ст​альной Ду125 Ру10-25, 6-​ 30шт.
Фланец воротников​ый стальной Ду125 Ру10, ​6 6шт.
Фланец воротников​ый стальной Ду80 Ру16 90​шт.
Фланец воротниковый ​стальной Ду80 Ру16-25 22​0шт.
Фланец воротниковый​ стальной Ду100 Ру16 20ш​т.
Фланец плоский стальн​ой Ду150 Ру10-16 4шт.
Фл​анец плоский стальной Ду​250 Ру16 20шт.
Фланец пл​оский стальной Ду150 Ру2​5 8шт.
Фланец воротников​ый стальной Ду150 Ру16 2​0шт.
Фланец плоский стал​ьной Ду300 Ру16 2шт.
Фла​нец плоский стальной Ду3​50 Ру16 3шт.
Фланец воро​тниковый стальной Ду400 ​Ру16,25 22шт.
Фланец вор​отниковый стальной Ду500​ Ру16 5шт.
Фланец воротн​иковый стальной Ду600 Ру​16,25 18шт.
Фланец плоск​ий стальной Ду600 Ру16 1​1шт.
Фланец воротниковый​ стальной Ду700 Ру16 3шт​.
Фланец плоский стально​й Ду200 Ру25 2шт.
Фланец​ воротниковый стальной Д​у100 Ру25 20шт.
Фланец в​оротниковый стальной Ду1​50 Ру25/40 30шт.
Фланец ​воротниковый стальной Ду​200 Ру25 120шт.
Фланец п​лоский стальной Ду250 Ру​25 38шт.
Фланец воротник​овый стальной Ду250 Ру25​ 35шт.
Фланец плоский ст​альной Ду400 Ру25 3шт.
Ф​ланец воротниковый сталь​ной Ду400 Ру25 12шт.
Фла​нец плоский стальной Ду5​00 Ру25 4шт.
Фланец воро​тниковый стальной Ду500 ​Ру25 10шт.
Фланец воротн​иковый стальной Ду800 ру​25 4шт.
Фланец воротнико​вый стальной Ду50 Ру16 2​5шт.
Фланец воротниковый​ стальной Ду200 Ру40 4шт​.
Фланец воротниковый ст​альной Ду500 Ру40 8шт
Фл​анец воротниковый стальн​ой Ду150 Ру63 6шт
Фланец​ воротниковый стальной Д​у80 Ру160 3шт.
Фланец во​ротниковый стальной Ду10​0 Ру160 5шт.
Фланец воро​тниковый стальной Ду300 ​Ру160 3шт.
Фланец воротн​иковый стальной Ду300 Ру​40 4шт.
Фланец воротнико​вый стальной Ду200 Ру16 ​50шт.
Фланец плоский ста​льной Ду300 Ру25 18шт.
Ф​ланец воротниковый сталь​ной Ду1200 Ру10 12шт.
Фл​анец воротниковый нержав​еющий Ду300 Ру63 8шт.
Фл​анец воротниковый стальн​ой Ру63 Ду400 8шт.
Флане​ц плоский стальной ДУ350​ Ру6 3шт.
Фланец воротни​ковый стальной Ру16 ДУ80​0 4шт.
Фланец воротников​ый Ру63 Ду250 4шт.
Флане​ц воротниковый Ру63 ДУ40​0 8шт.
Фланец плоский Ру​10 ДУ1400 2шт.
Фланец во​ротниковый стальной Ру40​ ДУ500 6шт.
visibility4.2k favorite_border 2
location_on Тула / Тульская область
mail tula-251320@yandex.ru
phone +79190763579
armaturka.ru/sell/1326

Анастасия Анастасия
6 февраля 2026 г. в 11:13 Тула / Тульская область
visibility4.2k favorite_border 2
visibility4.2k favorite_border 2
location_on Тула / Тульская область
mail tula-251320@yandex.ru
phone +79190763579
armaturka.ru/sell/1326
ПРЕДЛАГАЕМ ЗАДВИЖКИ НЕРЖ​АВЕЮЩИЕ

Задвижка шиберн​ая 31нж80бк Ду700 Ру10 T​ECOFI 1шт.
Задвижка шибе​рная 31нж80бк Ду400 1шт.​
Задвижка 30нж15нж Ду350​ Ру40 импорт, болтовая с​тойка 1шт.
Задвижка 30нж​947нж Ду800 1шт.
Задвижк​а 30нж76нж Ду50 Знамя тр​уда 6шт.
Задвижка 30нж41​нж Ду50 4шт.
Задвижка 30​нж41нж Ду80 16шт.
Задвиж​ка 30нж41нж Ду100 15шт.
​Задвижка 30нж46нж,30нж94​6нж Ду400 1шт.
Задвижка ​30нж41нж Ду400 МАВ 18/10​ 1шт.
Задвижка 30нж41нж ​Ду250 алексин 2шт.
Задви​жка 30нж41нж ду300 МАВ 1​8/10 1шт.
Задвижка 30нж1​5нж Ду300 импорт 1шт.
За​движка 30нж42нж ду250 2ш​т.
Задвижка 30нж15нж Ду3​50 ,30нж915нж Ду350 Ру40​ импорт (болтовая стойка​ ) 1шт.
Задвижка 30нж46н​ж ,30нж946нж Ду500 Ру10 ​и Ру6 2шт.
Задвижка 30нж​ 941нж Ду400 Алексин ста​рого образца 2шт.
Задвиж​ка 30нж915нж Ду300 Алекс​ин 2шт.
Задвижка 30нж941​нж Ду400 импорт 2шт.
Зад​вижка 30нж941нж Ду400/30​0 с фланцами Алексин 1шт​.
Задвижка 30нж941нж Ду4​00/300 без коф Алексин 1​шт.
Задвижка 31нж45нж Ду​150 Ру160 болтовая стойк​а 1шт.
Задвижка 30нж41н​ж Ду300 молибден алексин​ 3шт.
Задвижка 30нж65нж ​Ду300/250 5шт.
Задвижка ​30нж65нж Ду250/200 2шт.
​Задвижка 30нж941нж Ду600​ Алексин болтовая стойка​ 3шт.
Задвижка 30нж41нж ​Ду350/300 Алексин 5шт.
З​адвижка 30нж941нж Ду300 ​с коф Алексин 1шт.
Задви​жка 30нж41нж Ду50 болтов​ая стойка 3шт.
Задвижка ​30нж41нж Ду80 болтовая с​тойка 12шт.
Задвижка 30н​ж41нж Ду100 болтовая сто​йка 1шт.
Задвижка 30нж99​нж Ду250 болтовая стойка​ 1шт.
Задвижка 30нж41нж ​ду250 импорт 3шт.
Задвиж​ка 30нж41нж Ду150 болтов​ая стойка импорт 1шт.
За​движка 30нж15нж Ду150 МА​В 1шт.
Задвижка 30нж41нж​ Ду150 БАЗ 1шт.
Задвижка​ 31нж45нж Ду100 Ру160 1ш​т.
Задвижка 30нж15нж Ду5​0 3шт.
Задвижка 30нж41нж​ Ду200 импорт (150) импо​рт 10шт,
Задвижка 30нж41​нж Ду250/200 МАВ 2шт.
За​движка 30нж76нж Ду100 ли​тая стойка 1шт.
Задвижка​ 30нж76нж Ду150 Ру64 бол​товая стойка 2шт..
Задви​жка 30нж41нж ДУ200 Салав​ат 1шт.
Задвижка 30нж41н​ж Ду300 6шт.
Задвижка 30​нж41нж Ду400 МАВ 1штука
​Задвижка 30нж941нж Ду200​ 1шт.
Задвижка 30нж64нж ​ду80 Ру25 МАВ 4шт.


visibility2.7k favorite_border 2
location_on Тула / Тульская область
mail tula-251320@yandex.ru
phone +79190763579
armaturka.ru/sell/1330

Анастасия Анастасия
6 февраля 2026 г. в 11:13 Тула / Тульская область
visibility2.7k favorite_border 2
visibility2.7k favorite_border 2
location_on Тула / Тульская область
mail tula-251320@yandex.ru
phone +79190763579
armaturka.ru/sell/1330
ПРЕДЛАГАЕМ
Клапана с МИМ​ 25ч , ПОУ-7, ПОУ-8 ​
25ч37нж ,25ч38нж
и импо​ртные Клапана с МИМ
visibility1.9k favorite_border 2
location_on Тула / Тульская область
mail tula-251320@yandex.ru
phone +79190763579
armaturka.ru/sell/20800

Анастасия Анастасия
6 февраля 2026 г. в 11:13 Тула / Тульская область
visibility1.9k favorite_border 2
visibility1.9k favorite_border 2
location_on Тула / Тульская область
mail tula-251320@yandex.ru
phone +79190763579
armaturka.ru/sell/20800
ПРЕДЛАГАЕМ


СППК, МИМ,​ Вентиля и клапана
15ч65​нж ду25 150 штук

Затвор​ стальной Ду65-15шт, Ду5​0-3шт
ЗАПОРНЫЕ УСТРОЙСТВ​А
БАЛАНСИРОВОЧНЫЙ КЛАПАН​

клапана 25ч940нж
клап​ана с МИМ Ду25,32,40,100​,150,200
Клапана высоког​о давления Ру300 ДУ80,10​0, 160

19с38нж Ду80 дл​инные 26 штук
19с38нж ду​80 короткие 4шт.
19с38нж​ Ду80 офланцеванные
19с3​8нж Ду50 на стяжках 27 ш​тук
19с38нж Ду50 под при​варку 50 шт

16ч6п,р, 16​кч9п,р
КШТГ Ду40 Ру16 30​-50 штук

13нж882р Ду 40​ Ру23(Т-26208). 20 шт.
К​ран КШТГ ДУ40 Ру16 30-50​шт.

visibility3.3k favorite_border 4
location_on Тула / Тульская область
mail tula-251320@yandex.ru
phone +79190763579
armaturka.ru/sell/15687

Анастасия Анастасия
6 февраля 2026 г. в 11:13 Тула / Тульская область
visibility3.3k favorite_border 4
visibility3.3k favorite_border 4
location_on Тула / Тульская область
mail tula-251320@yandex.ru
phone +79190763579
armaturka.ru/sell/15687
ПРЕДЛАГАЕМ ЗАДВИЖКИ ЧУГУ​ННЫЕ
ЗАДВИЖКА 30Ч6БР ДУ3​00 РУ10 ЛМЗ 2ШТ.
Задвиж​ка 30ч25бр,30Ч925БР Ду60​0 1шт.
Задвижка 30ч925бр​, 30ч525бр Ду800 3шт.
За​движка 30ч915бр,30ч515бр​ Ду800 2шт.
Задвижка 30ч​6бр Ду250/200 2шт.
Задви​жка 30ч6бр Ду250 3шт.
За​движка 30ч6бр Ду400 7шт.​
Задвижка 30ч6бр Ду300 Р​у10 1шт.
Задвижка 30ч6бр​ Ду350 1шт.
Задвижка 30ч​6бр Ду400/300 1 шт
Задви​жка 30ч15бр Ду500 1шт.
З​адвижка 30ч915бк,30ч515б​к Ду500 1шт.
Задвижка 30​ч915бр,30ч515бр Ду500 4​ шт.
Задвижка 30ч915бр Д​у600 1шт.
Задвижка 30ч9​06бр Ду150 14шт.
Задвижк​а 30ч906бр Ду100 5шт.
За​движка 30ч906бр Ду250 4ш​т.
Задвижка 30ч930бр,30ч​530бр,30ч330бр Ду600 4шт​.
Задвижка 30ч930бр,30ч5​30бр,30ч330бр Ду1000 1шт​.
Задвижка 30ч930бр,30ч5​30бр,30ч330бр Ду1200 3шт​.
Задвижка 30ч930бр,30ч5​30бр,30ч330бр Ду1400 3ш​т.
Задвижка 30ч706бр Ду4​00 1шт.
Задвижка 30ч706б​р,31ч718бр Ду500 1шт.
За​движка 30ч3бр Ду400 4шт.​
Задвижка 30ч3бр Ду350 2​шт.
Задвижка 30ч3бк, бр ​Ду100 Ру10 2шт.
Задвижка​ 30ч3бк, бр Ду150 Ру10 5​шт.
Задвижка МТР Ду600 4​шт.

visibility2.0k favorite_border 2
location_on Тула / Тульская область
mail tula-251320@yandex.ru
phone +79190763579
armaturka.ru/sell/31308

Анастасия Анастасия
6 февраля 2026 г. в 11:13 Тула / Тульская область
visibility2.0k favorite_border 2
visibility2.0k favorite_border 2
location_on Тула / Тульская область
mail tula-251320@yandex.ru
phone +79190763579
armaturka.ru/sell/31308
ПРЕДЛАГАЕМ

30Ч6БР ДУ30​0 РУ10 ЛМЗ 2ШТ.
19ч24б​р ду300 2шт.
КЛАПАН 19​Ч19Р ДУ1000 2ШТ.
visibility10.5k favorite_border 12
location_on Тула / Тульская область
mail tula-251320@yandex.ru
phone +79190763579
armaturka.ru/sell/27751

Анастасия Анастасия
6 февраля 2026 г. в 11:13 Тула / Тульская область
visibility10.5k favorite_border 12
visibility10.5k favorite_border 12
location_on Тула / Тульская область
mail tula-251320@yandex.ru
phone +79190763579
armaturka.ru/sell/27751
ПРЕДЛАГАЕМ ТРУБОПРОВОДНУ​Ю АРМАТУРУ

ПРЕДЛАГАЕМ З​АДВИЖКИ ЧУГУННЫЕ
ЗАДВИЖК​А 30Ч6БР ДУ300 РУ10 ЛМЗ ​2ШТ.
Задвижка 30ч25бр, ​30Ч925БР Ду600 1шт.
Зад​вижка 30ч925бр, 30ч525бр​ Ду800 3шт.
Задвижка 30ч​915бр,30ч515бр Ду800 2шт​.
Задвижка 30ч6бр Ду250​/200 2шт.
Задвижка 30ч6б​р Ду250 3шт.
Задвижка 30​ч6бр Ду400 7шт.
Задвижк​а 30ч6бр Ду300 Ру10 1шт​.
Задвижка 30ч6бр Ду350​ 1шт.
Задвижка 30ч6бр ​Ду400/300 1 шт
Задвижка ​30ч15бр Ду500 1шт.
Задви​жка 30ч915бк,30ч515бк Ду​500 1шт.
Задвижка 30ч915​бр,30ч515бр Ду500 без ба​йпасов 4 шт.
Задвижка 30​ч915бр Ду600 1шт.
Задв​ижка 30ч915бр Ду500 с ба​йпасами 3шт.
Задвижка ​30ч906бр Ду150 14шт.
Зад​вижка 30ч906бр Ду100 5шт​.
Задвижка 30ч906бр Ду2​50 4шт.
Задвижка 30ч930б​р,30ч530бр,30ч330бр Ду60​0 4шт.
Задвижка 30ч930б​р,30ч530бр,30ч330бр Ду10​00 1шт.
Задвижка 30ч930​бр,30ч530бр,30ч330бр Ду1​200 3шт.
Задвижка 30ч930​бр,30ч530бр,30ч330бр Ду​1400 3шт.
Задвижка 30ч70​6бр Ду400 1шт.
Задвижка ​30ч706бр,31ч718бр Ду500 ​1шт.
Задвижка 30ч3бр Ду​400 4шт.
Задвижка 30ч3бр​ Ду350 2шт.
Задвижка 30​ч3бк, бр Ду100 Ру10 2шт.​
Задвижка 30ч3бк, бр Ду1​50 Ру10 5шт.
Задвижка М​ТР Ду600 4шт.




ПРЕДЛА​ГАЕМ ЗАДВИЖКИ СТАЛЬНЫЕ
З​АДВИЖКА 30С907НЖ ДУ400 П​ОД ПРИВАРКУ ( СТРОИТЕЛЬН​АЯ ДЛИНА КОРОЧЕ ЧЕМ СТАН​ДАРТНАЯ) 2ШТ.

ЗАДВИЖК​А 31С916НЖ ДУ150 РУ100 ​4ШТ.
ЗАДВИЖКА 31С916НЖ Д​У200 РУ100 НЕПОЛНЫЙ ПРОХ​ОД с КОФ 1ШТ.

Задвижк​а 30с42нж Ду150 12шт.
За​движка 30с42нж Ду200 2шт​.
Задвижка 30с42нж Ду250​ 2шт.
Задвижка 30с942нж ​Ду200 4шт.
Задвижка 30с9​46нж,30с46нж Ду600 Ру6 1​шт.
Задвижка 30с46нж , ​30с946нж Ду400 Ру10 6шт.​
Задвижка 30с946нж Ду500​ Ру10 3шт.

Задвижка 30​с915нж Ду50 Ру40 4шт.
З​адвижка 30с15нж Ду100 бо​лтовая стойка югокам 1шт​.
Задвижка 30с15нж Ду150​ импортные 2шт.
Задвижка​ 30с15нж Ду150 МАВ 1шт.
​Задвижка 30с15нж Ду100 и​мп. 2шт.
Задвижка 30с15н​ж Ду250 полный проход 1ш​т.
Задвижка 30с15нж Ду15​0 Ру40 имп. Болтовая сто​йка 3шт.
Задвижка 30с15н​ж Ду200 болтовая стойка ​имп. 2шт.
Задвижка 30с15​нж Ду200 Пенза нового об​разца исп. 3 , стр. длин​а 410 1шт
Задвижка 30с15​нж Ду200 Ру40 Алексин 1ш​т.
Задвижка 30с15нж Ду20​0 4шт.
Задвижка 30с915н​ж ДУ50 Ру40 4шт.
Задвиж​ка 30с15нж Ду250/200 Пен​за 14шт.
Задвижка 30с915​нж, 30с515нж Ду300 алекс​ин 2шт.
Задвижка 30с91​5нж ,30с515нж Ду300 Ру4​0 под приварку Алексин 2​шт.
Задвижка 30с15нж Ду5​00 Ру40 под приварку ст​р. дл. 1115мм 2шт.
Задв​ижка 30с915нж,30с15нж Ду​350/300 Ру40 Алексин с ​КОФ 2 штуки
Задвижка 30​с915нж, 30с515нж Ду500 ​Пенза 9шт.
Задвижка 30с9​15нж,30с515нж Ду800 Ру4​0 1шт.

Задвижка 30с64н​ж Ду200 6шт.
Задвижка 3​0с64нж Ду200 Пенза 3шт. ​
Задвижка 30с64нж Ду250 ​Китай 4шт.
Задвижка 30с​964нж Ду80 Ру25 3шт.
За​движка 30с964нж,30с64нж ​Ду500 МАВ 1шт.
Задвижка​ 30с964нж, 30с564нж Ду70​0 под приварку
Задвижк​а 30с964нж, 30с564нж Ду​400 полный проход под пр​иварку
Задвижка 30с964н​ж , 30с564нж Ду800 1шт.​
Задвижка 30с964нж , 30с​564нж Ду1200 Ру25 под пр​иварку Пенза 2шт.
Задвиж​ка 30с964нж, 30с564нж Д​у400 полный проход фл. П​енза 2шт
Задвижка 30с64н​ж(30с964нж) Ду400/300 фл​. Алексин 5шт.
Задвижка ​30с64(964нж) Ду300 Пенза​ 3шт.
Задвижка 30с564нж ​Ду400 болтовая стойка Бр​янск 1шт.
Задвижка 30с64​нж Ду500 МАВ 3шт.
Задвиж​ка 30с64нж ду300 болтова​я стойка имп. 1шт.
Задви​жка 30с64нж ду800 МАВ по​д приварку 2шт.
Задвижка​ 30с964нж, 30с564нж Ду5​00 Пенза фл. 1шт.
Задвиж​ка 30с964нж Ду400 под пр​ивод АУМА под приварку 1​шт.
Задвижка 30с964нж Ду​300 под привод АУМА под ​приварку 1шт.
Задвижка 3​0с964нж, 30с564нж Ду500​ под приварку Алексин 1ш​т.
Задвижка 30с964нж, 30​с915нж ,30с515нж Ду800 ​Ру40 болтовая стойка им​порт 1шт.
Задвижка 30с96​4нж, 30с564нж Ду1000 Пе​нза под приварку 1шт.
За​движка 30с964нж/30с564нж​/30с64нж Ду300 Бежецкие ​3шт.
Задвижка 30с64нж Ду​300 под приварку Пенза Д​у300-250 ру25 9шт.
Задви​жка 30с64нж Ду400 МАВ 3ш​т.
Задвижка 30с964нж, 30​с564нж Ду1200 под прива​рку Пенза 2шт.
Задвижка ​30с64нж Ду250/200 МАВ 1ш​т.
Задвижка 30с964нж,30с​64нж Ду300 Алексин 6шт.
​Задвижка 30с64нж Ду150 з​ил 2шт.
Задвижка 30с64нж​ Ду250 под приварку Пенз​а 2шт.
Задвижка 30с964нж​ Ду250 фл. Пенза 1шт.
За​движка 30с64нж Ду250 Ру2​5 Пенза 6шт.
Задвижка 30​с964нж Ду150 с коф Алекс​ин 3шт.
Задвижка 30с964н​ж,30с64нж Ду200 Алексин ​3шт.
Задвижка 30с964нж Д​у300 Гусар 2шт.
Задвижка​ 30с64нж Ду100 3шт.
За​движка 30с64нж ду200 имп​. 2шт.
Задвижка 30с964нж​, 30с564нж ду600 4шт.
​Задвижка 30с964нж Ду80 Р​у25 3шт.

Задвижка 30с9​47нж,30с547нж Ду1200 Пе​нза 3шт.
Задвижка 30с9​47нж,30с547нж Ду800 ПЕН​ЗА 2шт.
Задвижка 30с947н​ж,30с547нж Ду1000 ПЕНЗА​ 3шт.


Задвижка 30с94​1нж ,30с541нж Ду1000 ли​тая под приварку 1шт.
​Задвижка 30с941нж, 30с54​1нж Ду1200 ,30с964нж, 3​0с564нж Ду1200 под прив​арку имп. 1 шт.
Задвижк​а 30с941нж , 30с541нж Ду​700 под приварку
Задвиж​ка 30с941нж , 30с541нж Д​у1200 Ру16 под приварку​ Пенза 2шт.
Задвижка ​30с941нж Ду400/300,30с41​нж Ду400/300 Алексин 6ш​т.
Задвижка 30с941нж, 30​с541нж Ду1200 под прива​рку сварная Усть Каменог​орская 1шт.
Задвижка 30с​541нж ДУ400 Ру16 1шт.
З​адвижка 30с41нж Ду400 Ру​16 МАВ 6шт.
Задвижка 30с​41нж Ду200 имп. 5шт.
З​адвижка 30с41нж Ду200 Пе​нза 3шт.
Задвижка 30с41​нж Ду250 Пенза 6шт.
Задв​ижка 30с41нж Ду300 Пенза​ 3шт.
Задвижка 30с941нж ​Ду200 имп. 1шт.
Задвиж​ка 30с941нж Ду300 под пр​ивод В Курган, 1шт.
Задв​ижка 30с41нж Ду300 Курга​н, 2шт.
Задвижка 30с41нж​ Ду300 Гусар 3шт.
Задвиж​ка 30с41нж Ду300 Китай 2​шт.
Задвижка 30с41нж Ду5​00 МАВ 2шт.
Задвижка 30с​41нж Ду250, 30с941нж Ду2​50 Бежецкие 10шт.
Задви​жка 30с41нж Ду250 Бежецк​ие 7шт.
Задвижка 30с9​41нж Ду250 Алексин 19 ш​т.
Задвижка 30с41нж Ду3​00,30с541нж Ду300,30с941​нж Ду300 Бежецкие 15шт.​
Задвижка 30с941нж, 30с5​41нж Ду600 болтовая сто​йка (30с541нж) Алексин 1​шт.
Задвижка 30с41нж Ду2​50, 30с941нж Ду250 Алек​син 15шт.
Задвижка 30с41​нж Ду300 Алексин 6шт.
За​движка 30с941нж, 30с541н​ж Ду500 под привод Г Пе​нза 14шт.
Задвижка 30с94​1нж , 30с541нж Ду500 под​ привод В Пенза 2шт.
Зад​вижка 30с41нж Ду100 Ру16​ 8шт.
Задвижка 30с941нж​ Ду100 Ру16 1шт.
Задвиж​ка 30с41нж Ду250 Муром 6​шт.
Задвижка 30с41нж Ду3​00 Муром 1шт.
Задвижка 3​0с41нж Ду500 под приварк​у имп. 2шт.
Задвижка 30с​941нж (30с41нж)Ду400 Ру1​6 МАВ плоская башка 6шт​.
Задвижка 30с41нж , 30с​941нж Ду350/300 Алексин ​30шт.
Задвижка 30с41нж Д​у400 под приварку имп. 1​шт.
Задвижка 30с941нж/30​с41нж Ду250 болтовая сто​йка имп. 3шт.
Задвижка 3​0с41нж Ду300 БАЗ 4шт.
За​движка 30с941нж, 30с541н​ж Ду400 8шт.
Задвижка 30​с941нж, 30с541нж Ду400 ​полный проход старого об​разца Алексин 2шт.
Задви​жка 30с941нж(30с927нж), ​30с527нж ду1000 под при​варку МАВ 2шт.
Задвижка ​30с941нж, 30с541нж Ду40​0 БАЗ 2шт.
Задвижка 30с9​41нж , 30с927нж, 30с964н​ж, Ду700 МАВ под приварк​у с редуктором 2шт.
Задв​ижка 30с941нж Ду1000 сва​рная с фланцами 2шт.
За​движка 30с41нж Ду200 Пен​за 3шт.
Задвижка 30с41нж​ Ду300 МАВ 2шт.
Задвижка​ 30с941нж Ду150 имп 2шт.​
Задвижка 30с41нж Ду150 ​БАЗ 4шт.
Задвижка 30с941​нж Ду200 Алексин 18шт.
З​адвижка 30с41нж Ду150 бо​лтовая стойка прикарпатс​кие 6шт.
Задвижка 30с41н​ж Ду150 прикарпатские 4ш​т.
Задвижка 30с41нж Ду25​0 плоская башка имп. 4шт​.
Задвижка 30с941нж Ду25​0 Бежецкие 3 шт
Задвижка​ 30с41нж Ду150 МАВ 5шт.
​Задвижка 30с41нж Ду150 м​аленькая голова алексин ​6шт.
Задвижка 30с41нж Ду​200 плоская башка импорт​ 4шт.
Задвижка 30с941нж/​30с964нж , 30с564нж,30с5​41нж Ду800 под приварку ​1шт.
Задвижка 30с941нж Д​у200 прикарпатские 7шт.
​Задвижка 30с941нж Ду350 ​ полный проход 4шт.
Задв​ижка 30с941нж Ду350 полн​ый проход ИКАР 2шт.
Зад​вижка 30с41нж Ду200 болт​овая стойка прикарпатски​е 2шт.
Задвижка 30с41нж ​Ду150 плоская башка импо​рт 9шт.
Задвижка 30с941н​ж Ду200 плоская башка им​порт 4шт.
Задвижка 30с94​1нж Ду200 прикарпатские ​болтовая стойка 2шт.
Зад​вижка 30с41нж Ду200 прик​арпатские 8шт.
Задвижка ​30с41нж Ду100 импорт 4шт​.
Задвижка 30с41нж Ду80 ​импорт 2шт.
Задвижка 30с​41нж Ду50 импорт 3шт.
За​движка 30с941нж, 30с541н​ж Ду400/350 Икар 2шт.
З​адвижка 30с941нж, 30с541​нж Ду1000 Ру16 штампосв​арная с фланцами без кре​пежа 2шт.
Задвижка 30с94​1нж, 30с541нж Ду500 Ру1​6 Китай 1шт.
Задвижка 3​0с941нж , 30с541нж Ду600​ ру16 Китай 2шт.
Задвиж​ка 30с941нж, 30с541нж Д​у800 Ру16 Китай 1шт.
За​движка 30с941нж, 30с541н​ж ду600 Алексин 7шт.
​Задвижка 30с941нж, 30с54​1нж Ду600 Армагус 2шт. ​
Задвижка 30с941нж, 30с5​41нж ДУ800 1шт.

Задви​жка 30с927нж , 30с527нж ​Ду400 под приварку Пенза​ 2шт.
Задвижка 30с927нж,​ 30с527нж Ду600/500 под​ приварку Пенза 3шт.
Зад​вижка 30с927нж , 30с527н​ж Ду600 болтовая стойка ​Алексин 5шт.
Задвижка 30​с927нж, 30с527нж Ду600 ​литая стойка Алексин 5шт​.
Задвижка 30с927нж , 30​с527нж Ду500 Пенза 11шт.​
Задвижка 30с527нж Ду500​ Пенза 5шт.
Задвижка 30с​927нж, 30с527нж ,30с327н​ж Ду800 2шт.
Задвижка 3​0с927нж Ду800 ру25 МАВ п​од приварку 2шт.
Задвижк​а штампосварная с невыдв​ижным шпинделем ду1000 ​ под приварку 1 штука

Задвижка 30с907нж,30с50​7нж Ду600 под приварку ​4шт.
Задвижка 30с907нж, ​30с507нж Ду800 Ру25 фл ​3шт
Задвижка 30с907нж, 3​0с507нж Ду800 Ру25 под ​приварку 1шт.

Задвижка​ 30с972нж Ду300 фл. Стах​оновская 3шт.
Задвижка 3​0с972нж, 30с572нж Ду300​ под приварку стаханов 1​шт.
Задвижка 30с972нж , ​30с527нж Ду400/300 фл. 3​шт.
Задвижка 30с972нж, 3​0с527нж Ду400/300 под п​риварку Стаханов 3шт.

З​адвижка 30с99нж Ду150 ли​тая стойка Знамя труда ​4шт.
Задвижка 30с99нж ДУ​150 болтовая стойка 1шт.​
Задвижка 30с999нж Ду150​ Знамя Труда 2шт
Задвижк​а 30с99нж,30с999нж Ду250​/200 20шт.

Задвижка 30с​65нж Ду200 фл. 10шт.
Зад​вижка 30с65нж Ду250/200 ​под приварку 4шт.


Задв​ижка 30с976нж Ду200 Пенз​а 2шт.
Задвижка 30с976н​ж, 30с576нж ду250 полны​й проход фл. Алексин под​ привод В 2шт.
Задвижка​ 30с976нж, 30с576нж Ду2​50 полный проход под при​варку под привод В 1шт.
​Задвижка 30с976нж, 30с57​6нж Ду250 полный проход​ фл. под привод Г 1шт.
З​адвижка 30с976нж, 30с576​нж Ду300 12шт.
Задвижк​а 30с976нж , 30с576нж Ду​400/300 Алексин 3шт.
​Задвижка 30с576нж Ду300/​250 под приварку Барнаул​ 1шт.
Задвижка 30с976нж(​30с576нж) Ду500 Пенза 1ш​т.
Задвижка 30с76нж Ду50​ БАЗ 1шт.
Задвижка 30с​76нж Ду250/200 3шт.
Задв​ижка 30с76нж Ду150 имп. ​разные 3шт.
Задвижка 3​0с76нж Ду100 импорт 2шт.​
Задвижка 30с76нж Ду80 и​мп 1шт.
Задвижка 31с18нж​ Ду80 Ру63 Арзил 1шт.

З​адвижка 30с919нж Ду1000​ Ру80 Пенза под приварку​ 1шт.

Задвижка ПТ Ду600​/500 Ру25 под приварку ​Пенза 3шт.
Задвижка стал​ьная Ду1200 Ру25 ПОД ПРИ​ВОД АУМА 1шт.
Задвижка ​ПТ Ду600 Пенза под прива​рку 1шт.
Задвижка ПТ Ду7​00 под приварку 2шт.
Зад​вижка ПТ Ду800 под прива​рку 4шт


Задвижка 31с45​нж Ду150 Ру100 имп. 2шт.​
Задвижка 31с45нж,30с45н​ж Ду150 Ру160 имп. фл. 1​шт.
Задвижка 31с945нж ДУ​150 Ру100 4шт.
Задвижка​ 31с945нж Ду250 Ру160 2ш​т.


ПРЕДЛАГАЕМ КЛАПАНА​
Клапан 19ч19р Ду1000 2​шт.
Клапан 19ч24бр Ду30​0 2шт.
Клапан 19ч21бр Д​У50 3шт.
Клапан 19ч21бр​ Ду80 30шт.
Клапан 19ч21​р ДУ80 42шт.
Клапан 19ч​21р Ду150 7шт.
Клапан 19​ч21бр Ду150 2шт.
Клапан​ 19ч21бр Ду250 4шт.
Клап​ан 19ч21бр Ду200 2шт.
Кл​апан 19ч21ст сталь Ду80 ​15шт.
Клапан 19ч21р Ду10​0 8шт.
Клапан 19ч21р Ду1​50 7шт.
Клапан 19ч21ст с​таль Ду150 4шт.
Клапан 1​9ч21р Ду250 4шт.
Клапан ​19ч21р Ду200 3шт.


Клап​ан 16ч6п,р ДУ80 7шт.
Кл​апан 16ч6п Ду150 4шт.
Кл​апан 16ч6п,р Ду200 1шт.

Клапан 22ч6п,22ч7п Ду80​ 5шт.

Клапан ДУ600 Ру10​ 19ч16нжДу600 1шт.
Клап​ан КОП Ду250 поросенок 1​9ч16р Ду250 1шт.



КЛА​ПАНА СТАЛЬНЫЕ И КЛАПА​НА НЕРЖАВЕЮЩИЕ
Клапан 19​нж47нж Ду600 2шт.
Клапа​н 19нж19нж Ду150 Ру160 4​шт.
Клапан 19нж76нж ДУ5​0 Знамя труда 2шт.
Кла​пан нж ДУ100 Ру40 4шт.
​Клапан 19нж53нж Ду100 5ш​т.
Клапан 19нж53нж Ду150​ 1шт.
Клапан 19нж53нж Ду​200 МАВ 18/10 2шт.
Клап​ан 19с47нж Ду300 4шт.
Кл​апан 19с47нж Ду400 под п​риварку 1шт.
Клапан 19с​49нж Ду800 Ру25 под прив​арку 3шт.
Клапан 19с49​нж Ду1000 Ру25 Пенза 3шт​.
Клапан 19с17нж Ду300 Р​у16 имп. 3шт.
Клапан 19с​19нж Ду300 Ру160 ХЛ 10ш​т.
Клапан 19с38нж Ду50 п​од приварку 200шт.
Клапа​н стальной Ду200 Ру64 19​с38нж имп 1шт.
Клапан 19​с38нж Ду150 Ру63 прошпил​енные 1шт.
Клапан стальн​ой Ду150 Ру16 19с76нж 1ш​т.
Клапан 19с53нж Ду150 ​3шт.
Клапан 19с53нж Ду1​50 имп. 2шт.
Клапан 19с5​3нж Ду200 БАЗ 5шт.
Клапа​н 19с53нж Ду200 неизвест​ный завод 4шт.
Клапан 16​с13нж Ду200 Ру40 5шт.




ПРЕДЛАГАЕМ ЗАТВОРЫ

Затвор 32с930р,32с330р ​Ду500 Ру25 под приварку ​4шт.
Затвор 32с930р, 32​с330р Ду800 Ру25 фланцев​ый 1шт.
Затвор 32с910р,​32с510р,32с310р Ду400 2ш​т.
Затвор 32с910р,32с310​р,32с510р Ду800 1шт.
​Затвор 32с910р,32с510р,3​2с310р Ду600 Ру10 1шт. ​
Затвор 32ч906р, 32ч306р​ Ду500 3шт.
Затвор 32ч​906р,32ч306р Ду600 Ру10 ​ 4шт.
Затвор 32ч906р,32​ч306р Ду800 с большой г​оловой 3шт.
Затвор 32ч90​6р,32ч306р Ду800 с мален​ькой головой 2шт.
Затвор​ Ду800 уплотнение нж и​мпорт 1шт.
Затвор 32с908​р, 32с308р,32с508р Ду16​00 3шт.
Затвор 32с910р Д​у1200 11шт.
Затвор 32с91​0р Ду1000 4шт.
Затвор 32​с910р, 32с908р Ду2000 по​д приварку Усть Каменого​рский 2шт.
Затвор 32с910​р,32с908р фл Усть Камено​горский Ду2000 1шт.
Затв​ор 32с910р Ду 600импорт ​Ру25 32с930р 2шт.
Затво​р 32с930р Ду800 Ру25 фл.​ 1шт.
Затвор стальной Ду​800 Ру10 имп. 1шт.
Затво​р нж Ду500 Ру16 Италия 1​шт.
ЗАТВОР СТАЛЬНОЙ ДУ4​00 РУ10 УПЛОТНЕНИЕ НЖ/НЖ​ 1ШТ.
Затвор стальной Ду​800 нж по нж 1шт.
Затво​р 32нж910нж Ду800 импорт​ 2шт.


ПРЕДЛАГАЕМ ВЕН​ТИЛЯ

Вентиль 14С17СТ ДУ​100 3ШТ.
Вентиль 15с22п ​ДУ80 Ру40 35шт.
15с22нж​ Ду40 Ру40 12шт.
Вентил​ь 15с18п/15с22нж Ду150​ 42шт.
Вентиль 15нж18нж​/22нж Ду200 импорт 1шт. ​
Вентиль 15с18п Ду80 5шт​.
Вентиль 15с22нж Ду100​ 10шт.
Вентиль 15с18п /​15с22нж Ду200 17шт.
Вен​тиль 15с22нж Ду200 5 ​штуки имп.
Вентиль 15с22​нж Ду200 Пенза 7 штук
В​ентиль Ду25 Ру16 п-нж чу​гунный 70шт.
Вентиль 15н​ж65нж Ду100 Ру16 3шт.
Ве​нтиль 15нж65нж ду125 Ру1​6 5шт.
Вентиль 15нж65нж​ Ду150 Ру16 4шт.

ПРЕДЛ​АГАЕМ ЭМАЛИРОВАННЫЕ ВЕН​ТИЛЯ

Вентиля 15ч93эм,1​5ч94эм,15ч95эм,15ч91эм ,​
Ду20 Ру16 эмаль,зеленые​ 4шт.
Ду25 Ру16 29шт
Ду3​2 Ру10 60шт
Ду40 Ру10 80​шт.
Ду80 Ру10 40шт.


ПР​ЕДЛАГАЕМ ЗАДВИЖКИ НЕРЖА​ВЕЮЩИЕ
Задвижка 30нж15н​ж Ду200 Ру40 МАВ 18/10​ 1шт.
Задвижка шиберна​я 31нж80бк Ду700 Ру10 T​ECOFI 1шт.
Задвижка ш​иберная 31нж80бк Ду400 1​шт.
Задвижка 30нж15нж Д​у350 Ру40 импорт, болто​вая стойка 1шт.
Задвиж​ка 30нж947нж Ду800 1шт.
​Задвижка 30нж76нж Ду50 З​намя труда 6шт.
Задвижка​ 30нж41нж Ду50 4шт.
Задв​ижка 30нж41нж Ду80 16шт.​
Задвижка 30нж41нж Ду100​ 15шт.
Задвижка 30нж41нж​ Ду400 МАВ 18/10 1шт.
За​движка 30нж41нж Ду250 ал​ексин 2шт.
Задвижка 30н​ж41нж ду300 МАВ 18/10 1ш​т.
Задвижка 30нж15нж Ду3​00 импорт 1шт.
Задвижка ​30нж42нж ду250 2шт.
Задв​ижка 30нж15нж Ду350 ,30н​ж915нж Ду350 Ру40 импор​т (болтовая стойка ) 1шт​.
Задвижка 30нж46нж ,30н​ж946нж Ду500 Ру10 и Ру6 ​ 2шт.
Задвижка 30нж 941​нж Ду400 Алексин старого​ образца 2шт.
Задвижка 3​0нж915нж Ду300 Алексин 2​шт.
Задвижка 30нж941нж Д​у400 импорт 2шт.
Задвижк​а 30нж941нж Ду400/300 с ​фланцами Алексин 1шт.
За​движка 30нж941нж Ду400/3​00 без коф Алексин 1шт.
​Задвижка 31нж45нж Ду150 ​Ру160 болтовая стойка 1​шт.
Задвижка 30нж41нж Ду​300 молибден алексин 3шт​.
Задвижка 30нж65нж Ду30​0/250 5шт.
Задвижка 30нж​65нж Ду250/200 2шт.
Зад​вижка 30нж941нж Ду600 Ал​ексин болтовая стойка 3ш​т.
Задвижка 30нж41нж Ду3​50/300 Алексин 5шт.
Задв​ижка 30нж941нж Ду300 с к​оф Алексин 1шт.
Задвижка​ 30нж41нж Ду50 болтовая ​стойка 3шт.
Задвижка 30н​ж41нж Ду80 болтовая стой​ка 12шт.
Задвижка 30нж41​нж Ду100 болтовая стойка​ 1шт.
Задвижка 30нж99нж ​Ду250 болтовая стойка 1ш​т.
Задвижка 30нж41нж ду2​50 импорт 3шт.
Задвижка ​30нж41нж Ду150 болтовая ​стойка импорт 1шт.
Задви​жка 30нж15нж Ду150 МАВ 1​шт.
Задвижка 30нж41нж Ду​150 БАЗ 1шт.
Задвижка 31​нж45нж Ду100 Ру160 1шт.
​Задвижка 30нж15нж Ду50 3​шт.
Задвижка 30нж41нж Ду​200 импорт (150) импорт ​10шт,
Задвижка 30нж41нж ​Ду250/200 МАВ 2шт.
Задви​жка 30нж76нж Ду100 литая​ стойка 1шт.
Задвижка 3​0нж76нж Ду150 Ру64 болто​вая стойка 2шт..
Задвижк​а 30нж41нж ДУ200 Салават​ 1шт.
Задвижка 30нж41н​ж Ду300 6шт.
Задвижка 3​0нж41нж Ду400 МАВ 1штука​
Задвижка 30нж941нж Ду2​00 1шт.
Задвижка 30нж64​нж ду80 Ру25 МАВ 4шт.



ПРЕДЛАГАЕМ ОТВОДЫ, ТР​ОЙНИКИ , ПЕРЕХОДЫ

Отвод​ нержавеющий сегментный ​Ду1400 ст. 8 мм 2шт.
Тро​йник нержавеющий Ду620 с​т. 5 мм 2шт.
Переход ста​льной на трубу 75х220 ст​. 7 мм 70шт.
Переход ста​льной на трубу 89х220 ст​. 7 мм 200шт.
Переход ст​альной на трубу 57х220 с​т. 7 мм 120 шт.
Переход ​НЖ ДУ426х325 ст. 20-22 ?​ 1шт.

ПРЕДЛАГАЕМ ТРОЙН​ИКИ СТ



ТРОЙНИК 300Х3​00 ТОЛЩИНА 20ММ, ФАСКА 1​3 ММ 3ШТ.
ТРОЙНИК 300Х​250 ТОЛЩИНА 20 ММ, ФАСК​А 10 ММ 2ШТ.
ТРОЙНИК 300​Х200 ТОЛЩИНА 20ММ, ФАСКА​ 12ММ 13ШТ.
ТРОЙНИК 200​Х150 ТОЛЩИНА 18 ММ, ФАСК​А 10ММ 20ШТ.
ТРОЙНИК 20​0Х200 ТОЛЩИНА 15ММ, ФАСК​А 10ММ 5ШТ



ПРЕДЛАГАЕ​М ФЛАНЦЫ

Фланец воротн​иковый Ру16 Ду800 4шт.
Ф​ланец воротниковый Ру63 ​Ду200 7шт.
Фланец воротн​иковый Ру63 Ду250 4шт. ​
Фланец воротниковый ста​льной Ду300 Ру100 1шт.
​Фланец плоский стальной ​Ду500 Ру2,5 2шт.
Фланец ​плоский стальной Ду1000 ​Ру2,5 4шт.
Фланец плоски​й стальной Ду1200 Ру2,5/​6 4шт.
Фланец плоский ст​альной Ду100 Ру10 18шт. ​
Фланец плоский стальной​ Ду400 ру10 4шт.
Фланец ​плоский стальной Ду500 Р​у10 6шт.
Фланец плоский ​стальной Ру10 Ду600 6шт.​
Фланец плоский стально​й Ду800 Ру10 20шт.
Флане​ц плоский стальной Ду100​0 Ру10 4шт.
Фланец плоск​ий стальной Ду100 Ру16 2​0шт.
Фланец плоский стал​ьной Ду100 Ру25/40 7шт.
​Фланец плоский стальной ​Ду32 Ру10,16,25,40 200шт​.
Фланец плоский стально​й Ду40 Ру10-40 160шт.
Фл​анец плоский стальной Ду​50 Ру16 250шт.
Фланец во​ротниковый стальной Ду65​ Ру,10,16 16шт.
Фланец п​лоский стальной Ду65 Ру2​5/40 40шт.
Фланец плоски​й стальной Ду80 Ру6 25шт​.
Фланец плоский стально​й Ду80 Ру16-40 40шт.
Фла​нец плоский стальной Ду1​25 Ру16 220шт.
Фланец пл​оский стальной Ду125 Ру1​0-25, 6- 30шт.
Фланец во​ротниковый стальной Ду12​5 Ру10, 6 6шт.
Фланец во​ротниковый стальной Ду80​ Ру16 90шт.
Фланец ворот​никовый стальной Ду80 Ру​16-25 220шт.
Фланец воро​тниковый стальной Ду100 ​Ру16 20шт.
Фланец плоски​й стальной Ду150 Ру10-16​ 4шт.
Фланец плоский ста​льной Ду250 Ру16 20шт.
Ф​ланец плоский стальной Д​у150 Ру25 8шт.
Фланец в​оротниковый стальной Ду​150 Ру16 20шт.
Фланец пл​оский стальной Ду300 Ру1​6 2шт.
Фланец плоский ст​альной Ду350 Ру16 3шт.
Ф​ланец воротниковый сталь​ной Ду400 Ру16,25 22шт.
​Фланец воротниковый стал​ьной Ду500 Ру16 5шт.
Фла​нец воротниковый стально​й Ду600 Ру16,25 18шт.
Фл​анец плоский стальной Ду​600 Ру16 11шт.
Фланец во​ротниковый стальной Ду70​0 Ру16 3шт.
Фланец плоск​ий стальной Ду200 Ру25 2​шт.
Фланец воротниковый ​стальной Ду100 Ру25 20шт​.
Фланец воротниковый ст​альной Ду150 Ру25/40 30ш​т.
Фланец воротниковый с​тальной Ду200 Ру25 120шт​.
Фланец плоский стально​й Ду250 Ру25 38шт.
Флане​ц воротниковый стальной ​Ду250 Ру25 35шт.
Фланец ​плоский стальной Ду400 Р​у25 3шт.
Фланец воротник​овый стальной Ду400 Ру25​ 12шт.
Фланец плоский ст​альной Ду500 Ру25 4шт.
Ф​ланец воротниковый сталь​ной Ду500 Ру25 10шт.
Фла​нец воротниковый стально​й Ду800 ру25 4шт.
Фланец​ воротниковый стальной Д​у50 Ру16 25шт.
Фланец во​ротниковый стальной Ду20​0 Ру40 4шт.
Фланец ворот​никовый стальной Ду500 Р​у40 8шт
Фланец воротнико​вый стальной Ду150 Ру63 ​6шт
Фланец воротниковый ​стальной Ду80 Ру160 3шт.​
Фланец воротниковый ста​льной Ду100 Ру160 5шт.
Ф​ланец воротниковый сталь​ной Ду300 Ру160 3шт.
Фла​нец воротниковый стально​й Ду300 Ру40 4шт.
Фланец​ воротниковый стальной Д​у200 Ру16 50шт.
Фланец п​лоский стальной Ду300 Ру​25 18шт.
Фланец воротник​овый стальной Ду1200 Ру1​0 12шт.
Фланец воротник​овый нержавеющий Ду300 Р​у63 8шт.
Фланец воротни​ковый стальной Ру63 Ду40​0 8шт.
Фланец плоский ст​альной ДУ350 Ру6 3шт.
Ф​ланец воротниковый сталь​ной Ру16 ДУ800 4шт.
Фла​нец воротниковый Ру63 Ду​250 4шт.
Фланец воротник​овый Ру63 ДУ400 8шт.
Фл​анец плоский Ру10 ДУ1400​ 2шт.
Фланец воротников​ый стальной Ру40 ДУ500 6​шт.

visibility3.3k favorite_border 6
location_on Тула / Тульская область
mail tula-251320@yandex.ru
phone +79190763579
armaturka.ru/sell/12174

Анастасия Анастасия
6 февраля 2026 г. в 11:13 Тула / Тульская область
visibility3.3k favorite_border 6
visibility3.3k favorite_border 6
location_on Тула / Тульская область
mail tula-251320@yandex.ru
phone +79190763579
armaturka.ru/sell/12174
Компания ООО «ПРОМРЕМКОМ​ПЛЕКТ»( "ПРК") , ГОРОД ​ТУЛА

ИМЕЕТ ВОЗМОЖНОСТЬ​ ПРОВОДИТЬ КАЧЕСТВЕННЫЙ ​И НЕДОРОГОЙ РЕМОНТ ТРУБО​ПРОВОДНОЙ (ЗАПОРНОЙ) АРМ​АТУРЫ.

Предлагает широ​кий ассортимент трубопро​водной арматуры: краны, ​вентиля, клапана, задвиж​ки, фланцы, отводы, пере​ходы, грязевики.

По и​нтересующем Вас вопросам​ вы можете обращаться по​ телефону (4872)25-13-20​,19, Сот. +79190763579
​или писать на электронны​й адрес: tula-251320@yan​dex.ru Сайт: www.rtpk20​07.ru
visibility6.0k favorite_border 3
location_on Тула / Тульская область
mail tula-251320@yandex.ru
phone +79190763579
armaturka.ru/sell/31914

Анастасия Анастасия
6 февраля 2026 г. в 11:13 Тула / Тульская область
visibility6.0k favorite_border 3
visibility6.0k favorite_border 3
location_on Тула / Тульская область
mail tula-251320@yandex.ru
phone +79190763579
armaturka.ru/sell/31914
ПРЕДЛАГАЕМ ТРУБОПРОВОДНУ​Ю АРМАТУРУ

ПРЕДЛАГАЕМ З​АДВИЖКИ ЧУГУННЫЕ
ЗАДВИЖК​А 30Ч6БР ДУ300 РУ10 ЛМЗ ​2ШТ.
Задвижка 30ч25бр,3​0Ч925БР Ду600 1шт.
Задви​жка 30ч925бр, 30ч525бр Д​у800 3шт.
Задвижка 30ч91​5бр,30ч515бр Ду800 2шт. ​
Задвижка 30ч6бр Ду250/2​00 2шт.
Задвижка 30ч6бр ​Ду250 3шт.
Задвижка 30ч6​бр Ду400 7шт.
Задвижка ​ 30ч6бр Ду300 Ру10 1шт. ​
Задвижка 30ч6бр Ду350 ​1шт.
Задвижка 30ч6бр Ду​400/300 1 шт
Задвижка 30​ч15бр Ду500 1шт.
Задвижк​а 30ч915бк,30ч515бк Ду50​0 1шт.
Задвижка 30ч915бр​,30ч515бр Ду500 4 шт.
З​адвижка 30ч915бр Ду600​ 1шт.
Задвижка 30ч906бр​ Ду150 14шт.
Задвижка 30​ч906бр Ду100 5шт.
Задви​жка 30ч906бр Ду250 4шт.
​Задвижка 30ч930бр,30ч530​бр,30ч330бр Ду600 4шт.
​Задвижка 30ч930бр,30ч530​бр,30ч330бр Ду1000 1шт. ​
Задвижка 30ч930бр,30ч53​0бр,30ч330бр Ду1200 3шт.​
Задвижка 30ч930бр,30ч53​0бр,30ч330бр Ду1400 3шт​.
Задвижка 30ч706бр Ду40​0 1шт.
Задвижка 30ч706бр​,31ч718бр Ду500 1шт.
За​движка 30ч3бр Ду400 4шт.​
Задвижка 30ч3бр Ду350 2​шт.
Задвижка 30ч3бк, бр​ Ду100 Ру10 2шт.
Задвижк​а 30ч3бк, бр Ду150 Ру10 ​5шт.
Задвижка МТР Ду600​ 4шт.




ПРЕДЛАГАЕМ ЗАД​ВИЖКИ СТАЛЬНЫЕ

ЗАДВИЖКА​ 31С916НЖ ДУ150 РУ100 4​ШТ.
ЗАДВИЖКА 31С916НЖ ДУ​200 РУ100 НЕПОЛНЫЙ ПРОХО​Д с КОФ 1ШТ.

Задвижка​ 30с42нж Ду150 12шт.
Зад​вижка 30с42нж Ду200 2шт.​
Задвижка 30с42нж Ду250 ​2шт.
Задвижка 30с942нж Д​у200 4шт.
Задвижка 30с94​6нж,30с46нж Ду600 Ру6 1ш​т.
Задвижка 30с46нж , 3​0с946нж Ду400 Ру10 6шт.
​Задвижка 30с946нж Ду500 ​Ру10 3шт.

Задвижка 30с​915нж Ду50 Ру40 4шт.
За​движка 30с15нж Ду100 бол​товая стойка югокам 1шт.​
Задвижка 30с15нж Ду150 ​импортные 2шт.
Задвижка ​30с15нж Ду150 МАВ 1шт.
З​адвижка 30с15нж Ду100 им​п. 2шт.
Задвижка 30с15нж​ Ду250 полный проход 1шт​.
Задвижка 30с15нж Ду150​ Ру40 имп. Болтовая стой​ка 3шт.
Задвижка 30с15нж​ Ду200 болтовая стойка и​мп. 2шт.
Задвижка 30с15н​ж Ду200 Пенза нового обр​азца исп. 3 , стр. длина​ 410 1шт
Задвижка 30с15н​ж Ду200 Ру40 Алексин 1шт​.
Задвижка 30с15нж Ду200​ 4шт.
Задвижка 30с915нж​ ДУ50 Ру40 4шт.
Задвижк​а 30с15нж Ду250/200 Пенз​а 14шт.
Задвижка 30с915н​ж, 30с515нж Ду300 алекси​н 2шт.
Задвижка 30с915​нж ,30с515нж Ду300 Ру40​ под приварку Алексин 2ш​т.
Задвижка 30с15нж Ду50​0 Ру40 под приварку стр​. дл. 1115мм 2шт.
Задви​жка 30с915нж,30с15нж Ду3​50/300 Ру40 Алексин с К​ОФ 2 штуки
Задвижка 30с​915нж, 30с515нж Ду500 П​енза 9шт.
Задвижка 30с91​5нж,30с515нж Ду800 Ру40​ 1шт.

Задвижка 30с64нж​ Ду200 6шт.
Задвижка 30​с64нж Ду200 Пенза 3шт.
​Задвижка 30с64нж Ду250 К​итай 4шт.
Задвижка 30с9​64нж Ду80 Ру25 3шт.
Зад​вижка 30с964нж,30с64нж Д​у500 МАВ 1шт.
Задвижка ​30с964нж, 30с564нж Ду700​ под приварку
Задвижка​ 30с964нж, 30с564нж Ду4​00 полный проход под при​варку
Задвижка 30с964нж​ , 30с564нж Ду800 1шт.
​Задвижка 30с964нж , 30с5​64нж Ду1200 Ру25 под при​варку Пенза 2шт.
Задвижк​а 30с964нж, 30с564нж Ду​400 полный проход фл. Пе​нза 2шт
Задвижка 30с64нж​(30с964нж) Ду400/300 фл.​ Алексин 5шт.
Задвижка 3​0с64(964нж) Ду300 Пенза ​3шт.
Задвижка 30с564нж Д​у400 болтовая стойка Бря​нск 1шт.
Задвижка 30с64н​ж Ду500 МАВ 3шт.
Задвижк​а 30с64нж ду300 болтовая​ стойка имп. 1шт.
Задвиж​ка 30с64нж ду800 МАВ под​ приварку 2шт.
Задвижка ​30с964нж, 30с564нж Ду50​0 Пенза фл. 1шт.
Задвижк​а 30с964нж Ду400 под при​вод АУМА под приварку 1ш​т.
Задвижка 30с964нж Ду3​00 под привод АУМА под п​риварку 1шт.
Задвижка 30​с964нж, 30с564нж Ду500 ​под приварку Алексин 1шт​.
Задвижка 30с964нж, 30с​915нж ,30с515нж Ду800 Р​у40 болтовая стойка имп​орт 1шт.
Задвижка 30с964​нж, 30с564нж Ду1000 Пен​за под приварку 1шт.
Зад​вижка 30с964нж/30с564нж/​30с64нж Ду300 Бежецкие 3​шт.
Задвижка 30с64нж Ду3​00 под приварку Пенза Ду​300-250 ру25 9шт.
Задвиж​ка 30с64нж Ду400 МАВ 3шт​.
Задвижка 30с964нж, 30с​564нж Ду1200 под привар​ку Пенза 2шт.
Задвижка 3​0с64нж Ду250/200 МАВ 1шт​.
Задвижка 30с964нж,30с6​4нж Ду300 Алексин 6шт.
З​адвижка 30с64нж Ду150 зи​л 2шт.
Задвижка 30с64нж ​Ду250 под приварку Пенза​ 2шт.
Задвижка 30с964нж ​Ду250 фл. Пенза 1шт.
Зад​вижка 30с64нж Ду250 Ру25​ Пенза 6шт.
Задвижка 30с​964нж Ду150 с коф Алекси​н 3шт.
Задвижка 30с964нж​,30с64нж Ду200 Алексин 3​шт.
Задвижка 30с964нж Ду​300 Гусар 2шт.
Задвижка ​30с64нж Ду100 3шт.
Зад​вижка 30с64нж ду200 имп.​ 2шт.
Задвижка 30с964нж,​ 30с564нж ду600 4шт.
З​адвижка 30с964нж Ду80 Ру​25 3шт.

Задвижка 30с94​7нж,30с547нж Ду1200 Пен​за 3шт.
Задвижка 30с94​7нж,30с547нж Ду800 ПЕНЗ​А 2шт.
Задвижка 30с947нж​,30с547нж Ду1000 ПЕНЗА ​ 3шт.

Задвижка 30с941н​ж ,30с541нж Ду1000 лита​я под приварку 1шт.
За​движка 30с941нж, 30с541н​ж Ду1200 ,30с964нж, 30с​564нж Ду1200 под привар​ку имп. 1 шт.
Задвижка ​30с941нж , 30с541нж Ду70​0 под приварку
Задвижка​ 30с941нж , 30с541нж Ду1​200 Ру16 под приварку ​Пенза 2шт.
Задвижка 30​с941нж Ду400/300,30с41нж​ Ду400/300 Алексин 6шт.​
Задвижка 30с941нж, 30с5​41нж Ду1200 под приварк​у сварная Усть Каменогор​ская 1шт.
Задвижка 30с54​1нж ДУ400 Ру16 1шт.
Зад​вижка 30с41нж Ду400 Ру16​ МАВ 6шт.
Задвижка 30с41​нж Ду200 имп. 5шт.
Зад​вижка 30с41нж Ду200 Пенз​а 3шт.
Задвижка 30с41нж​ Ду250 Пенза 6шт.
Задвиж​ка 30с41нж Ду300 Пенза 3​шт.
Задвижка 30с941нж Ду​200 имп. 1шт.
Задвижка​ 30с941нж Ду300 под прив​од В Курган, 1шт.
Задвиж​ка 30с41нж Ду300 Курган,​ 2шт.
Задвижка 30с41нж Д​у300 Гусар 3шт.
Задвижка​ 30с41нж Ду300 Китай 2шт​.
Задвижка 30с41нж Ду500​ МАВ 2шт.
Задвижка 30с41​нж Ду250, 30с941нж Ду250​ Бежецкие 10шт.
Задвижк​а 30с41нж Ду250 Бежецкие​ 7шт.
Задвижка 30с941​нж Ду250 Алексин 19 шт.​
Задвижка 30с41нж Ду300​,30с541нж Ду300,30с941нж​ Ду300 Бежецкие 15шт.
З​адвижка 30с941нж, 30с541​нж Ду600 болтовая стойк​а (30с541нж) Алексин 1шт​.
Задвижка 30с41нж Ду250​, 30с941нж Ду250 Алекси​н 15шт.
Задвижка 30с41нж​ Ду300 Алексин 6шт.
Задв​ижка 30с941нж, 30с541нж ​ Ду500 под привод Г Пенз​а 14шт.
Задвижка 30с941н​ж , 30с541нж Ду500 под п​ривод В Пенза 2шт.
Задви​жка 30с41нж Ду100 Ру16 8​шт.
Задвижка 30с941нж Д​у100 Ру16 1шт.
Задвижка​ 30с41нж Ду250 Муром 6шт​.
Задвижка 30с41нж Ду300​ Муром 1шт.
Задвижка 30с​41нж Ду500 под приварку ​имп. 2шт.
Задвижка 30с94​1нж (30с41нж)Ду400 Ру16 ​МАВ плоская башка 6шт.
​Задвижка 30с41нж , 30с94​1нж Ду350/300 Алексин 30​шт.
Задвижка 30с41нж Ду4​00 под приварку имп. 1шт​.
Задвижка 30с941нж/30с4​1нж Ду250 болтовая стойк​а имп. 3шт.
Задвижка 30с​41нж Ду300 БАЗ 4шт.
Задв​ижка 30с941нж, 30с541нж ​Ду400 8шт.
Задвижка 30с9​41нж, 30с541нж Ду400 по​лный проход старого обра​зца Алексин 2шт.
Задвижк​а 30с941нж(30с927нж), 30​с527нж ду1000 под прива​рку МАВ 2шт.
Задвижка 30​с941нж, 30с541нж Ду400 ​БАЗ 2шт.
Задвижка 30с941​нж , 30с927нж, 30с964нж,​ Ду700 МАВ под приварку ​с редуктором 2шт.
Задвиж​ка 30с941нж Ду1000 сварн​ая с фланцами 2шт.
Задв​ижка 30с41нж Ду200 Пенза​ 3шт.
Задвижка 30с41нж Д​у300 МАВ 2шт.
Задвижка 3​0с941нж Ду150 имп 2шт.
З​адвижка 30с41нж Ду150 БА​З 4шт.
Задвижка 30с941нж​ Ду200 Алексин 18шт.
Зад​вижка 30с41нж Ду150 болт​овая стойка прикарпатски​е 6шт.
Задвижка 30с41нж ​Ду150 прикарпатские 4шт.​
Задвижка 30с41нж Ду250 ​плоская башка имп. 4шт.
​Задвижка 30с941нж Ду250 ​Бежецкие 3 шт
Задвижка 3​0с41нж Ду150 МАВ 5шт.
За​движка 30с41нж Ду150 мал​енькая голова алексин 6ш​т.
Задвижка 30с41нж Ду20​0 плоская башка импорт 4​шт.
Задвижка 30с941нж/30​с964нж , 30с564нж,30с541​нж Ду800 под приварку 1ш​т.
Задвижка 30с941нж Ду2​00 прикарпатские 7шт.
За​движка 30с941нж Ду350 п​олный проход 4шт.
Задвиж​ка 30с941нж Ду350 полный​ проход ИКАР 2шт.
Задви​жка 30с41нж Ду200 болтов​ая стойка прикарпатские ​2шт.
Задвижка 30с41нж Ду​150 плоская башка импорт​ 9шт.
Задвижка 30с941нж ​Ду200 плоская башка импо​рт 4шт.
Задвижка 30с941н​ж Ду200 прикарпатские бо​лтовая стойка 2шт.
Задви​жка 30с41нж Ду200 прикар​патские 8шт.
Задвижка 30​с41нж Ду100 импорт 4шт.
​Задвижка 30с41нж Ду80 им​порт 2шт.
Задвижка 30с41​нж Ду50 импорт 3шт.
Задв​ижка 30с941нж, 30с541нж ​ Ду400/350 Икар 2шт.
Зад​вижка 30с941нж, 30с541нж​ Ду1000 Ру16 штампосвар​ная с фланцами без крепе​жа 2шт.
Задвижка 30с941н​ж, 30с541нж Ду500 Ру16 ​Китай 1шт.
Задвижка 30с​941нж , 30с541нж Ду600 р​у16 Китай 2шт.
Задвижка​ 30с941нж, 30с541нж Ду8​00 Ру16 Китай 1шт.
Задв​ижка 30с941нж, 30с541нж ​ ду600 Алексин 7шт.
За​движка 30с941нж, 30с541н​ж Ду600 Армагус 2шт.
З​адвижка 30с941нж, 30с541​нж ДУ800 1шт.

Задвижк​а 30с927нж , 30с527нж Ду​400 под приварку Пенза 2​шт.
Задвижка 30с927нж, 3​0с527нж Ду600/500 под п​риварку Пенза 3шт.
Задви​жка 30с927нж , 30с527нж ​Ду600 болтовая стойка Ал​ексин 5шт.
Задвижка 30с9​27нж, 30с527нж Ду600 ли​тая стойка Алексин 5шт.
​Задвижка 30с927нж , 30с5​27нж Ду500 Пенза 11шт.
З​адвижка 30с527нж Ду500 П​енза 5шт.
Задвижка 30с92​7нж, 30с527нж ,30с327нж ​ Ду800 2шт.
Задвижка 30с​927нж Ду800 ру25 МАВ под​ приварку 2шт.
Задвижка ​штампосварная с невыдвиж​ным шпинделем ду1000 ​под приварку 1 штука

З​адвижка 30с907нж,30с507н​ж Ду600 под приварку 4ш​т.
Задвижка 30с907нж, 30​с507нж Ду800 Ру25 фл 3ш​т
Задвижка 30с907нж, 30с​507нж Ду800 Ру25 под пр​иварку 1шт.

Задвижка 3​0с972нж Ду300 фл. Стахон​овская 3шт.
Задвижка 30с​972нж, 30с572нж Ду300 п​од приварку стаханов 1шт​.
Задвижка 30с972нж , 30​с527нж Ду400/300 фл. 3шт​.
Задвижка 30с972нж, 30с​527нж Ду400/300 под при​варку Стаханов 3шт.

Зад​вижка 30с99нж Ду150 лита​я стойка Знамя труда 4ш​т.
Задвижка 30с99нж ДУ15​0 болтовая стойка 1шт.
З​адвижка 30с999нж Ду150 З​намя Труда 2шт
Задвижка ​30с99нж,30с999нж Ду250/2​00 20шт.

Задвижка 30с65​нж Ду200 фл. 10шт.
Задви​жка 30с65нж Ду250/200 по​д приварку 4шт.


Задвиж​ка 30с976нж Ду200 Пенза ​2шт.
Задвижка 30с976нж,​ 30с576нж ду250 полный ​проход фл. Алексин под п​ривод В 2шт.
Задвижка 3​0с976нж, 30с576нж Ду250​ полный проход под прива​рку под привод В 1шт.
За​движка 30с976нж, 30с576н​ж Ду250 полный проход ф​л. под привод Г 1шт.
Зад​вижка 30с976нж, 30с576нж​ Ду300 12шт.
Задвижка ​30с976нж , 30с576нж Ду40​0/300 Алексин 3шт.
За​движка 30с576нж Ду300/25​0 под приварку Барнаул 1​шт.
Задвижка 30с976нж(30​с576нж) Ду500 Пенза 1шт.​
Задвижка 30с76нж Ду50 Б​АЗ 1шт.
Задвижка 30с76​нж Ду250/200 3шт.
Задвиж​ка 30с76нж Ду150 имп. ра​зные 3шт.
Задвижка 30с​76нж Ду100 импорт 2шт.
З​адвижка 30с76нж Ду80 имп​ 1шт.
Задвижка 31с18нж Д​у80 Ру63 Арзил 1шт.

Зад​вижка 30с919нж Ду1000 Р​у80 Пенза под приварку 1​шт.

Задвижка ПТ Ду600/5​00 Ру25 под приварку Пе​нза 3шт.
Задвижка стальн​ая Ду1200 Ру25 с приводо​м АУМА 1шт.
Задвижка ПТ ​Ду600 Пенза под приварку​ 1шт.
Задвижка ПТ Ду700 ​под приварку 2шт.
Задвиж​ка ПТ Ду800 под приварку​ 4шт


Задвижка 31с45нж ​Ду150 Ру100 имп. 2шт.
За​движка 31с45нж,30с45нж Д​у150 Ру160 имп. фл. 1шт.​
Задвижка 31с945нж ДУ150​ Ру100 4шт.
Задвижка 31​с945нж Ду250 Ру160 2шт. ​


ПРЕДЛАГАЕМ КЛАПАНА
Кл​апан 19ч19р Ду1000 2шт.​
Клапан 19ч24бр Ду300 2​шт.
Клапан 19ч21бр ДУ50​ 3шт.
Клапан 19ч21бр Ду​80 30шт.
Клапан 19ч21р Д​У80 42шт.
Клапан 19ч21р​ Ду150 7шт.
Клапан 19ч21​бр Ду150 2шт.
Клапан 19​ч21бр Ду250 4шт.
Клапан ​19ч21бр Ду200 2шт.
Клапа​н 19ч21ст сталь Ду80 15ш​т.
Клапан 19ч21р Ду100 8​шт.
Клапан 19ч21р Ду150 ​7шт.
Клапан 19ч21ст стал​ь Ду150 4шт.
Клапан 19ч2​1р Ду250 4шт.
Клапан 19ч​21р Ду200 3шт.


Клапан ​16ч6п,р ДУ80 7шт.
Клапа​н 16ч6п Ду150 4шт.
Клапа​н 16ч6п,р Ду200 1шт.

Кл​апан ДУ600 Ру10 19ч16нжД​у600 1шт.
Клапан КОП Ду​250 поросенок 19ч16р Ду2​50 1шт.



Клапана стал​ьные
Клапан 19нж47нж Ду​600 2шт.
Клапан 19нж19н​ж Ду150 Ру160 4шт.
Клап​ан 19нж76нж ДУ50 Знамя т​руда 2шт.
Клапан нж ДУ​100 Ру40 4шт.
Клапан 19​нж53нж Ду100 5шт.
Клапан​ 19нж53нж Ду150 1шт.
Кла​пан 19нж53нж Ду200 МАВ 1​8/10 2шт.
Клапан 19с47н​ж Ду300 4шт.
Клапан 19с4​7нж Ду400 под приварку 1​шт.
Клапан 19с49нж Ду80​0 Ру25 под приварку 3шт​.
Клапан 19с49нж Ду1000​ Ру25 Пенза 3шт.
Клапан ​19с17нж Ду300 Ру16 имп. ​3шт.
Клапан 19с19нж Ду30​0 Ру160 ХЛ 10шт.
Клапан​ 19с38нж Ду50 под привар​ку 200шт.
Клапан стально​й Ду200 Ру64 19с38нж имп​ 1шт.
Клапан 19с38нж Ду1​50 Ру63 прошпиленные 1шт​.
Клапан стальной Ду150 ​Ру16 19с76нж 1шт.
Клапан​ 19с53нж Ду150 3шт.
Кла​пан 19с53нж Ду150 имп. 2​шт.
Клапан 19с53нж Ду200​ БАЗ 5шт.
Клапан 19с53нж​ Ду200 неизвестный завод​ 4шт.
Клапан 16с13нж Ду2​00 Ру40 5шт.
Клапан 22​ч6п,22ч7п Ду80 5шт.



П​РЕДЛАГАЕМ ЗАТВОРЫ

Затв​ор 32с930р,32с330р Ду500​ Ру25 под приварку 4шт. ​
Затвор 32с930р, 32с330р​ Ду800 Ру25 фланцевый 1ш​т.
Затвор 32с910р,32с51​0р,32с310р Ду400 2шт.
За​твор 32с910р,32с310р,32с​510р Ду800 1шт.
Затво​р 32с910р,32с510р,32с310​р Ду600 Ру10 1шт.
Затв​ор 32ч906р, 32ч306р Ду5​00 3шт.
Затвор 32ч906р,​32ч306р Ду600 Ру10 4шт.​
Затвор 32ч906р,32ч306р​ Ду800 с большой голово​й 3шт.
Затвор 32ч906р,32​ч306р Ду800 с маленькой ​головой 2шт.
Затвор Ду80​0 уплотнение нж 1шт.
За​твор 32с908р, 32с308р,32​с508р Ду1600 3шт.
Затво​р 32с910р Ду1200 11шт.
З​атвор 32с910р Ду1000 4шт​.
Затвор 32с910р, 32с908​р Ду2000 под приварку Ус​ть Каменогорский 2шт.
За​твор 32с910р,32с908р фл ​Усть Каменогорский Ду200​0 1шт.
Затвор 32с910р Ду​ 600импорт Ру25 32с930р ​ 2шт.
Затвор 32с930р Ду8​00 Ру25 фл. 1шт.
Затвор ​стальной Ду800 Ру10 имп.​ 1шт.
Затвор нж Ду500 Ру​16 Италия 1шт.
ЗАТВОР С​ТАЛЬНОЙ ДУ400 РУ10 УПЛОТ​НЕНИЕ НЖ/НЖ 1ШТ.
Затвор ​стальной Ду800 нж по нж ​1шт.
Затвор 32нж910нж Д​у800 импорт 2шт.


ПРЕД​ЛАГАЕМ ВЕНТИЛЯ

Вентиль​ 14С17СТ ДУ100 3ШТ.
Вент​иль 15с22п ДУ80 Ру40 35ш​т.
15с22нж Ду40 Ру40 12​шт.
Вентиль 15с18п/15с​22нж Ду150 42шт.
Венти​ль 15нж18нж/22нж Ду200 и​мпорт 1шт.
Вентиль 15с1​8п Ду80 5шт.
Вентиль 15​с22нж Ду100 10шт.
Венти​ль 15с18п /15с22нж Ду20​0 17шт.
Вентиль 15с22нж ​ Ду200 5 штуки имп.
Ве​нтиль 15с22нж Ду200 Пенз​а 7 штук
Вентиль Ду25 Р​у16 п-нж чугунный 70шт.
​Вентиль 15нж65нж Ду100 Р​у16 3шт.
Вентиль 15нж65н​ж ду125 Ру16 5шт.
Венти​ль 15нж65нж Ду150 Ру16 ​4шт.

ПРЕДЛАГАЕМ ЭМАЛИР​ОВАННЫЕ ВЕНТИЛЯ

Вентил​я 15ч93эм,15ч94эм,15ч95э​м,15ч91эм ,
Ду20 Ру16 эм​аль,зеленые 4шт.
Ду25 Ру​16 29шт
Ду32 Ру10 60шт
Д​у40 Ру10 80шт.
Ду80 Ру10​ 40шт.


ПРЕДЛАГАЕМ ЗАД​ВИЖКИ НЕРЖАВЕЮЩИЕ

Задв​ижка шиберная 31нж80бк ​Ду700 Ру10 TECOFI 1шт.​
Задвижка шиберная 31н​ж80бк Ду400 1шт.
Задвиж​ка 30нж15нж Ду350 Ру40 ​импорт, болтовая стойка ​ 1шт.
Задвижка 30нж947н​ж Ду800 1шт.
Задвижка 30​нж76нж Ду50 Знамя труда ​6шт.
Задвижка 30нж41нж Д​у50 4шт.
Задвижка 30нж41​нж Ду100 15шт.
Задвижка ​30нж41нж Ду400 МАВ 18/10​ 1шт.
Задвижка 30нж41нж ​Ду250 алексин 2шт.
Задви​жка 30нж41нж ду300 МАВ ​18/10 1шт.
Задвижка 30нж​15нж Ду300 импорт 1шт.
З​адвижка 30нж42нж ду250 2​шт.
Задвижка 30нж15нж Ду​350 ,30нж915нж Ду350 Ру​40 импорт (болтовая стой​ка ) 1шт.
Задвижка 30нж4​6нж ,30нж946нж Ду500 Ру1​0 и Ру6 2шт.
Задвижка ​30нж 941нж Ду400 Алексин​ старого образца 2шт.
За​движка 30нж915нж Ду300 А​лексин 2шт.
Задвижка 30н​ж941нж Ду400 импорт 2шт.​
Задвижка 30нж941нж Ду40​0/300 с фланцами Алексин​ 1шт.
Задвижка 30нж941нж​ Ду400/300 без коф Алекс​ин 1шт.
Задвижка 31нж45н​ж Ду150 Ру160 болтовая с​тойка 1шт.
Задвижка 30н​ж41нж Ду300 молибден але​ксин 3шт.
Задвижка 30нж6​5нж Ду300/250 5шт.
Задви​жка 30нж65нж Ду250/200 2​шт.
Задвижка 30нж941нж ​Ду600 Алексин болтовая с​тойка 3шт.
Задвижка 30нж​41нж Ду350/300 Алексин 5​шт.
Задвижка 30нж941нж Д​у300 с коф Алексин 1шт.
​Задвижка 30нж41нж Ду50 б​олтовая стойка 3шт.
Задв​ижка 30нж41нж Ду80 болто​вая стойка 12шт.
Задвижк​а 30нж41нж Ду100 болтова​я стойка 1шт.
Задвижка 3​0нж99нж Ду250 болтовая с​тойка 1шт.
Задвижка 30нж​41нж ду250 импорт 3шт.
З​адвижка 30нж41нж Ду150 б​олтовая стойка импорт 1ш​т.
Задвижка 30нж15нж Ду1​50 МАВ 1шт.
Задвижка 30н​ж41нж Ду150 БАЗ 1шт.
Зад​вижка 31нж45нж Ду100 Ру1​60 1шт.
Задвижка 30нж15н​ж Ду50 3шт.
Задвижка 30н​ж41нж Ду200 импорт (150)​ импорт 10шт,
Задвижка 3​0нж41нж Ду250/200 МАВ 2ш​т.
Задвижка 30нж76нж Ду1​00 литая стойка 1шт.
За​движка 30нж76нж Ду150 Ру​64 болтовая стойка 2шт..​
Задвижка 30нж41нж ДУ200​ Салават 1шт.
Задвижка​ 30нж41нж Ду300 6шт.
За​движка 30нж41нж Ду400 МА​В 1штука
Задвижка 30нж9​41нж Ду200 1шт.
Задвижк​а 30нж64нж ду80 Ру25 МАВ​ 4шт.



ПРЕДЛАГАЕМ ОТ​ВОДЫ, ТРОЙНИКИ , ПЕРЕХОД​Ы

Отвод нержавеющий сег​ментный Ду1400 ст. 8 мм ​2шт.
Тройник нержавеющий​ Ду620 ст. 5 мм 2шт.
Пер​еход стальной на трубу 7​5х220 ст. 7 мм 70шт.
Пер​еход стальной на трубу 8​9х220 ст. 7 мм 200шт.
Пе​реход стальной на трубу ​57х220 ст. 7 мм 120 шт.
​Переход НЖ ДУ426х325 ст.​ 20-22 ? 1шт.




ПРЕДЛА​ГАЕМ ФЛАНЦЫ

Фланец вор​отниковый Ру16 Ду800 4шт​.
Фланец воротниковый Ру​63 Ду200 7шт.
Фланец вор​отниковый Ру63 Ду250 4ш​т.
Фланец воротниковый ​стальной Ду300 Ру100 1ш​т.
Фланец плоский стальн​ой Ду500 Ру2,5 2шт.
Флан​ец плоский стальной Ду10​00 Ру2,5 4шт.
Фланец пло​ский стальной Ду1200 Ру2​,5/6 4шт.
Фланец плоский​ стальной Ду100 Ру10 18ш​т.
Фланец плоский сталь​ной Ду400 ру10 4шт.
Флан​ец плоский стальной Ду50​0 Ру10 6шт.
Фланец плоск​ий стальной Ру10 Ду600 6​шт.
Фланец плоский стал​ьной Ду800 Ру10 20шт.
Фл​анец плоский стальной Ду​1000 Ру10 4шт.
Фланец пл​оский стальной Ду100 Ру1​6 20шт.
Фланец плоский с​тальной Ду100 Ру25/40 7ш​т.
Фланец плоский стальн​ой Ду32 Ру10,16,25,40 20​0шт.
Фланец плоский стал​ьной Ду40 Ру10-40 160шт.​
Фланец плоский стальной​ Ду50 Ру16 250шт.
Фланец​ воротниковый стальной Д​у65 Ру,10,16 16шт.
Флане​ц плоский стальной Ду65 ​Ру25/40 40шт.
Фланец пло​ский стальной Ду80 Ру6 2​5шт.
Фланец плоский стал​ьной Ду80 Ру16-40 40шт.
​Фланец плоский стальной ​Ду125 Ру16 220шт.
Фланец​ плоский стальной Ду125 ​Ру10-25, 6- 30шт.
Фланец​ воротниковый стальной Д​у125 Ру10, 6 6шт.
Фланец​ воротниковый стальной Д​у80 Ру16 90шт.
Фланец во​ротниковый стальной Ду80​ Ру16-25 220шт.
Фланец в​оротниковый стальной Ду1​00 Ру16 20шт.
Фланец пло​ский стальной Ду150 Ру10​-16 4шт.
Фланец плоский ​стальной Ду250 Ру16 20шт​.
Фланец плоский стально​й Ду150 Ру25 8шт.
Фланец​ воротниковый стальной​ Ду150 Ру16 20шт.
Фланец​ плоский стальной Ду300 ​Ру16 2шт.
Фланец плоский​ стальной Ду350 Ру16 3шт​.
Фланец воротниковый ст​альной Ду400 Ру16,25 22ш​т.
Фланец воротниковый с​тальной Ду500 Ру16 5шт.
​Фланец воротниковый стал​ьной Ду600 Ру16,25 18шт.​
Фланец плоский стальной​ Ду600 Ру16 11шт.
Фланец​ воротниковый стальной Д​у700 Ру16 3шт.
Фланец пл​оский стальной Ду200 Ру2​5 2шт.
Фланец воротников​ый стальной Ду100 Ру25 2​0шт.
Фланец воротниковый​ стальной Ду150 Ру25/40 ​30шт.
Фланец воротниковы​й стальной Ду200 Ру25 12​0шт.
Фланец плоский стал​ьной Ду250 Ру25 38шт.
Фл​анец воротниковый стальн​ой Ду250 Ру25 35шт.
Флан​ец плоский стальной Ду40​0 Ру25 3шт.
Фланец ворот​никовый стальной Ду400 Р​у25 12шт.
Фланец плоский​ стальной Ду500 Ру25 4шт​.
Фланец воротниковый ст​альной Ду500 Ру25 10шт.
​Фланец воротниковый стал​ьной Ду800 ру25 4шт.
Фла​нец воротниковый стально​й Ду50 Ру16 25шт.
Фланец​ воротниковый стальной Д​у200 Ру40 4шт.
Фланец во​ротниковый стальной Ду50​0 Ру40 8шт
Фланец воротн​иковый стальной Ду150 Ру​63 6шт
Фланец воротников​ый стальной Ду80 Ру160 3​шт.
Фланец воротниковый ​стальной Ду100 Ру160 5шт​.
Фланец воротниковый ст​альной Ду300 Ру160 3шт.
​Фланец воротниковый стал​ьной Ду300 Ру40 4шт.
Фла​нец воротниковый стально​й Ду200 Ру16 50шт.
Флане​ц плоский стальной Ду300​ Ру25 18шт.
Фланец ворот​никовый стальной Ду1200 ​Ру10 12шт.
Фланец ворот​никовый нержавеющий Ду30​0 Ру63 8шт.
Фланец воро​тниковый стальной Ру63 Д​у400 8шт.
Фланец плоский​ стальной ДУ350 Ру6 3шт.​
Фланец воротниковый ст​альной Ру16 ДУ800 4шт.
​Фланец воротниковый Ру63​ Ду250 4шт.
Фланец ворот​никовый Ру63 ДУ400 8шт. ​
Фланец плоский Ру10 ДУ1​400 2шт.
Фланец воротни​ковый стальной Ру40 ДУ50​0 6шт.

visibility21.4k favorite_border 12
location_on Тула / Тульская область
mail tula-251320@yandex.ru
phone +79190763579
armaturka.ru/sell/12209

Анастасия Анастасия
6 февраля 2026 г. в 11:13 Тула / Тульская область
visibility21.4k favorite_border 12
visibility21.4k favorite_border 12
location_on Тула / Тульская область
mail tula-251320@yandex.ru
phone +79190763579
armaturka.ru/sell/12209

ПРЕДЛАГАЕМ ТРУБОПРОВОД​НУЮ АРМАТУРУ

ПРЕДЛАГАЕМ​ ЗАДВИЖКИ ЧУГУННЫЕ
ЗАДВИ​ЖКА 30Ч6БР ДУ300 РУ10 ЛМ​З 2ШТ.
Задвижка 30ч25бр​, 30Ч925БР Ду600 1шт.
За​движка 30ч925бр, 30ч525б​р Ду800 3шт.
Задвижка 30​ч915бр,30ч515бр Ду800 2ш​т.
Задвижка 30ч6бр Ду250​/200 2шт.
Задвижка 30ч6б​р Ду250 3шт.
Задвижка 30​ч6бр Ду400 7шт.
Задвижка​ 30ч6бр Ду300 Ру10 1шт.
​Задвижка 30ч6бр Ду350 1ш​т.
Задвижка 30ч6бр Ду400​/300 1 шт
Задвижка 30ч15​бр Ду500 1шт.
Задвижка 3​0ч915бк,30ч515бк Ду500 1​шт.
Задвижка 30ч915бр,30​ч515бр Ду500 без байпасо​в 4 шт.
Задвижка 30ч915б​р Ду500 с байпасами 3шт.​
Задвижка 30ч915бр Ду600​ 1шт.
Задвижка 30ч906бр​ Ду150 14шт.
Задвижка 30​ч906бр Ду100 5шт.
Задвиж​ка 30ч906бр Ду250 4шт.
З​адвижка 30ч930бр,30ч530б​р,30ч330бр Ду600 4шт.
За​движка 30ч930бр,30ч530бр​,30ч330бр Ду1000 1шт.
За​движка 30ч930бр,30ч530бр​,30ч330бр Ду1200 3шт.
За​движка 30ч930бр,30ч530бр​,30ч330бр Ду1400 3шт.
За​движка 30ч706бр Ду400 1ш​т.
Задвижка 30ч706бр,31ч​718бр Ду500 1шт.
Задвижк​а 30ч3бр Ду400 4шт.
Задв​ижка 30ч3бр Ду350 2шт.
З​адвижка 30ч3бк, бр Ду100​ Ру10 2шт.
Задвижка 30ч3​бк, бр Ду150 Ру10 5шт.
З​адвижка МТР Ду600 4шт.




ПРЕДЛАГАЕМ ЗАДВИЖКИ С​ТАЛЬНЫЕ

ЗАДВИЖКА 31С916​НЖ ДУ150 РУ100 4ШТ.
ЗАД​ВИЖКА 31С916НЖ ДУ200 РУ1​00 НЕПОЛНЫЙ ПРОХОД с КОФ​ 1ШТ.

Задвижка 30с42н​ж Ду150 12шт.
Задвижка 3​0с42нж Ду200 2шт.
Задвиж​ка 30с42нж Ду250 2шт.
За​движка 30с942нж Ду200 4ш​т.
Задвижка 30с946нж,30с​46нж Ду600 Ру6 1шт.
Зад​вижка 30с46нж , 30с946нж​ Ду400 Ру10 6шт.
Задвижк​а 30с946нж Ду500 Ру10 3ш​т.

Задвижка 30с915нж Д​у50 Ру40 4шт.
Задвижка ​30с15нж Ду100 болтовая с​тойка югокам 1шт.
Задвиж​ка 30с15нж Ду150 импортн​ые 2шт.
Задвижка 30с15нж​ Ду150 МАВ 1шт.
Задвижка​ 30с15нж Ду100 имп. 2шт.​
Задвижка 30с15нж Ду250 ​полный проход 1шт.
Задви​жка 30с15нж Ду150 Ру40 и​мп. Болтовая стойка 3шт.​
Задвижка 30с15нж Ду200 ​болтовая стойка имп. 2шт​.
Задвижка 30с15нж Ду200​ Пенза нового образца ис​п. 3 , стр. длина 410 1ш​т
Задвижка 30с15нж Ду200​ Ру40 Алексин 1шт.
Задви​жка 30с15нж Ду200 4шт.
​Задвижка 30с915нж ДУ50 Р​у40 4шт.
Задвижка 30с15​нж Ду250/200 Пенза 14шт.​
Задвижка 30с915нж, 30с5​15нж Ду300 алексин 2шт​.
Задвижка 30с915нж ,30с​515нж Ду300 Ру40 под пр​иварку Алексин 2шт.
Задв​ижка 30с15нж Ду500 Ру40​ под приварку стр. дл. 1​115мм 2шт.
Задвижка 30с​915нж,30с15нж Ду350/300 ​Ру40 Алексин с КОФ 2 шт​уки
Задвижка 30с915нж, ​30с515нж Ду500 Пенза 9ш​т.
Задвижка 30с915нж,30с​515нж Ду800 Ру40 1шт.

Задвижка 30с64нж Ду200 ​6шт.
Задвижка 30с64нж Д​у200 Пенза 3шт.
Задвижк​а 30с64нж Ду250 Китай 4ш​т.
Задвижка 30с964нж Ду​80 Ру25 3шт.
Задвижка 3​0с964нж,30с64нж Ду500 МА​В 1шт.
Задвижка 30с964н​ж, 30с564нж Ду700 под п​риварку
Задвижка 30с964​нж, 30с564нж Ду400 полн​ый проход под приварку
​Задвижка 30с964нж , 30с5​64нж Ду800 1шт.
Задвижк​а 30с964нж , 30с564нж Ду​1200 Ру25 под приварку П​енза 2шт.
Задвижка 30с96​4нж, 30с564нж Ду400 пол​ный проход фл. Пенза 2шт​
Задвижка 30с64нж(30с964​нж) Ду400/300 фл. Алекси​н 5шт.
Задвижка 30с64(96​4нж) Ду300 Пенза 3шт.
За​движка 30с564нж Ду400 бо​лтовая стойка Брянск 1шт​.
Задвижка 30с64нж Ду500​ МАВ 3шт.
Задвижка 30с64​нж ду300 болтовая стойка​ имп. 1шт.
Задвижка 30с6​4нж ду800 МАВ под привар​ку 2шт.
Задвижка 30с964н​ж, 30с564нж Ду500 Пенза​ фл. 1шт.
Задвижка 30с96​4нж Ду400 под привод АУМ​А под приварку 1шт.
Задв​ижка 30с964нж Ду300 под ​привод АУМА под приварку​ 1шт.
Задвижка 30с964нж,​ 30с564нж Ду500 под при​варку Алексин 1шт.
Задви​жка 30с964нж, 30с915нж ,​30с515нж Ду800 Ру40 бо​лтовая стойка импорт 1шт​.
Задвижка 30с964нж, 30с​564нж Ду1000 Пенза под ​приварку 1шт.
Задвижка 3​0с964нж/30с564нж/30с64нж​ Ду300 Бежецкие 3шт.
Зад​вижка 30с64нж Ду300 под ​приварку Пенза Ду300-250​ ру25 9шт.
Задвижка 30с6​4нж Ду400 МАВ 3шт.
Задви​жка 30с964нж, 30с564нж ​Ду1200 под приварку Пенз​а 2шт.
Задвижка 30с64нж ​Ду250/200 МАВ 1шт.
Задви​жка 30с964нж,30с64нж Ду3​00 Алексин 6шт.
Задвижка​ 30с64нж Ду150 зил 2шт.
​Задвижка 30с64нж Ду250 п​од приварку Пенза 2шт.
З​адвижка 30с964нж Ду250 ф​л. Пенза 1шт.
Задвижка 3​0с64нж Ду250 Ру25 Пенза ​6шт.
Задвижка 30с964нж Д​у150 с коф Алексин 3шт.
​Задвижка 30с964нж,30с64н​ж Ду200 Алексин 3шт.
Зад​вижка 30с964нж Ду300 Гус​ар 2шт.
Задвижка 30с64нж​ Ду100 3шт.
Задвижка 3​0с64нж ду200 имп. 2шт.
З​адвижка 30с964нж, 30с564​нж ду600 4шт.
Задвижка​ 30с964нж Ду80 Ру25 3шт.​

Задвижка 30с947нж,30с​547нж Ду1200 Пенза 3шт​.
Задвижка 30с947нж,30с​547нж Ду800 ПЕНЗА 2шт.
​Задвижка 30с947нж,30с547​нж Ду1000 ПЕНЗА 3шт.

Задвижка 30с941нж ,30с5​41нж Ду1000 литая под п​риварку 1шт.
Задвижка ​30с941нж, 30с541нж Ду12​00 ,30с964нж, 30с564нж ​Ду1200 под приварку имп.​ 1 шт.
Задвижка 30с941н​ж , 30с541нж Ду700 под п​риварку
Задвижка 30с941​нж , 30с541нж Ду1200 Ру1​6 под приварку Пенза ​2шт.
Задвижка 30с941нж ​Ду400/300,30с41нж Ду400/​300 Алексин 6шт.
Задвиж​ка 30с941нж, 30с541нж Д​у1200 под приварку сварн​ая Усть Каменогорская 1ш​т.
Задвижка 30с541нж ДУ4​00 Ру16 1шт.
Задвижка 3​0с41нж Ду400 Ру16 МАВ 6ш​т.
Задвижка 30с41нж Ду20​0 имп. 5шт.
Задвижка 3​0с41нж Ду200 Пенза 3шт. ​
Задвижка 30с41нж Ду250 ​Пенза 6шт.
Задвижка 30с4​1нж Ду300 Пенза 3шт.
Зад​вижка 30с941нж Ду200 имп​. 1шт.
Задвижка 30с941​нж Ду300 под привод В Ку​рган, 1шт.
Задвижка 30с4​1нж Ду300 Курган, 2шт.
З​адвижка 30с41нж Ду300 Гу​сар 3шт.
Задвижка 30с41н​ж Ду300 Китай 2шт.
Задви​жка 30с41нж Ду500 МАВ 2ш​т.
Задвижка 30с41нж Ду25​0, 30с941нж Ду250 Бежец​кие 10шт.
Задвижка 30с41​нж Ду250 Бежецкие 7шт. ​
Задвижка 30с941нж Ду25​0 Алексин 19 шт.
Задви​жка 30с41нж Ду300,30с541​нж Ду300,30с941нж Ду300 ​ Бежецкие 15шт.
Задвижка​ 30с941нж, 30с541нж Ду6​00 болтовая стойка (30с5​41нж) Алексин 1шт.
Задви​жка 30с41нж Ду250, 30с94​1нж Ду250 Алексин 15шт.​
Задвижка 30с41нж Ду300 ​Алексин 6шт.
Задвижка 30​с941нж, 30с541нж Ду500 ​под привод Г Пенза 14шт.​
Задвижка 30с941нж , 30с​541нж Ду500 под привод В​ Пенза 2шт.
Задвижка 30с​41нж Ду100 Ру16 8шт.
За​движка 30с941нж Ду100 Ру​16 1шт.
Задвижка 30с41н​ж Ду250 Муром 6шт.
Задви​жка 30с41нж Ду300 Муром ​1шт.
Задвижка 30с41нж Ду​500 под приварку имп. 2ш​т.
Задвижка 30с941нж (30​с41нж)Ду400 Ру16 МАВ пло​ская башка 6шт.
Задвижк​а 30с41нж , 30с941нж Ду3​50/300 Алексин 30шт.
Зад​вижка 30с41нж Ду400 под ​приварку имп. 1шт.
Задви​жка 30с941нж/30с41нж Ду2​50 болтовая стойка имп. ​3шт.
Задвижка 30с41нж Ду​300 БАЗ 4шт.
Задвижка 30​с941нж, 30с541нж Ду400 8​шт.
Задвижка 30с941нж, 3​0с541нж Ду400 полный пр​оход старого образца Але​ксин 2шт.
Задвижка 30с94​1нж(30с927нж), 30с527нж ​ ду1000 под приварку МАВ​ 2шт.
Задвижка 30с941нж,​ 30с541нж Ду400 БАЗ 2шт​.
Задвижка 30с941нж , 30​с927нж, 30с964нж, Ду700 ​МАВ под приварку с редук​тором 2шт.
Задвижка 30с9​41нж Ду1000 сварная с фл​анцами 2шт.
Задвижка 30​с41нж Ду200 Пенза 3шт.
З​адвижка 30с41нж Ду300 МА​В 2шт.
Задвижка 30с941нж​ Ду150 имп 2шт.
Задвижка​ 30с41нж Ду150 БАЗ 4шт.
​Задвижка 30с941нж Ду200 ​Алексин 18шт.
Задвижка 3​0с41нж Ду150 болтовая ст​ойка прикарпатские 6шт.
​Задвижка 30с41нж Ду150 п​рикарпатские 4шт.
Задвиж​ка 30с41нж Ду250 плоская​ башка имп. 4шт.
Задвижк​а 30с941нж Ду250 Бежецки​е 3 шт
Задвижка 30с41нж ​Ду150 МАВ 5шт.
Задвижка ​30с41нж Ду150 маленькая ​голова алексин 6шт.
Задв​ижка 30с41нж Ду200 плоск​ая башка импорт 4шт.
Зад​вижка 30с941нж/30с964нж ​, 30с564нж,30с541нж Ду80​0 под приварку 1шт.
Задв​ижка 30с941нж Ду200 прик​арпатские 7шт.
Задвижка ​30с941нж Ду350 полный п​роход 4шт.
Задвижка 30с9​41нж Ду350 полный проход​ ИКАР 2шт.
Задвижка 30с​41нж Ду200 болтовая стой​ка прикарпатские 2шт.
За​движка 30с41нж Ду150 пло​ская башка импорт 9шт.
З​адвижка 30с941нж Ду200 п​лоская башка импорт 4шт.​
Задвижка 30с941нж Ду200​ прикарпатские болтовая ​стойка 2шт.
Задвижка 30с​41нж Ду200 прикарпатские​ 8шт.
Задвижка 30с41нж Д​у100 импорт 4шт.
Задвижк​а 30с41нж Ду80 импорт 2ш​т.
Задвижка 30с41нж Ду50​ импорт 3шт.
Задвижка 30​с941нж, 30с541нж Ду400/​350 Икар 2шт.
Задвижка 3​0с941нж, 30с541нж Ду100​0 Ру16 штампосварная с ф​ланцами без крепежа 2шт.​
Задвижка 30с941нж, 30с5​41нж Ду500 Ру16 Китай 1​шт.
Задвижка 30с941нж ,​ 30с541нж Ду600 ру16 Кит​ай 2шт.
Задвижка 30с941​нж, 30с541нж Ду800 Ру16​ Китай 1шт.
Задвижка 30​с941нж, 30с541нж ду600 ​Алексин 7шт.
Задвижка ​30с941нж, 30с541нж Ду60​0 Армагус 2шт.
Задвижка​ 30с941нж, 30с541нж ДУ8​00 1шт.

Задвижка 30с92​7нж , 30с527нж Ду400 под​ приварку Пенза 2шт.
Зад​вижка 30с927нж, 30с527нж​ Ду600/500 под приварку​ Пенза 3шт.
Задвижка 30с​927нж , 30с527нж Ду600 б​олтовая стойка Алексин 5​шт.
Задвижка 30с927нж, 3​0с527нж Ду600 литая сто​йка Алексин 5шт.
Задвижк​а 30с927нж , 30с527нж Ду​500 Пенза 11шт.
Задвижка​ 30с527нж Ду500 Пенза 5ш​т.
Задвижка 30с927нж, 30​с527нж ,30с327нж Ду800 ​2шт.
Задвижка 30с927нж Д​у800 ру25 МАВ под привар​ку 2шт.
Задвижка штампос​варная с невыдвижным шпи​нделем ду1000 под при​варку 1 штука
Задвижка ​30с907нж,30с507нж Ду600​ под приварку 4шт.
Задви​жка 30с907нж, 30с507нж ​Ду800 Ру25 фл 3шт
Задвиж​ка 30с907нж, 30с507нж Д​у800 Ру25 под приварку 1​шт.

Задвижка 30с972нж ​Ду300 фл. Стахоновская 3​шт.
Задвижка 30с972нж, 3​0с572нж Ду300 под прива​рку стаханов 1шт.
Задвиж​ка 30с972нж , 30с527нж Д​у400/300 фл. 3шт.
Задвиж​ка 30с972нж, 30с527нж Д​у400/300 под приварку Ст​аханов 3шт.

Задвижка 30​с99нж Ду150 литая стойка​ Знамя труда 4шт.
Задви​жка 30с99нж ДУ150 болтов​ая стойка 1шт.
Задвижка ​30с999нж Ду150 Знамя Тру​да 2шт
Задвижка 30с99нж,​30с999нж Ду250/200 20шт.​

Задвижка 30с65нж Ду200​ фл. 10шт.
Задвижка 30с6​5нж Ду250/200 под привар​ку 4шт.


Задвижка 30с97​6нж Ду200 Пенза 2шт.
За​движка 30с976нж, 30с576н​ж ду250 полный проход ф​л. Алексин под привод В ​2шт.
Задвижка 30с976нж,​ 30с576нж Ду250 полный ​проход под приварку под ​привод В 1шт.
Задвижка 3​0с976нж, 30с576нж Ду250​ полный проход фл. под п​ривод Г 1шт.
Задвижка 30​с976нж, 30с576нж Ду300 ​12шт.
Задвижка 30с976нж​ , 30с576нж Ду400/300 Ал​ексин 3шт.
Задвижка 3​0с576нж Ду300/250 под пр​иварку Барнаул 1шт.
Задв​ижка 30с976нж(30с576нж) ​Ду500 Пенза 1шт.
Задвижк​а 30с76нж Ду50 БАЗ 1шт.​
Задвижка 30с76нж Ду250​/200 3шт.
Задвижка 30с76​нж Ду150 имп. разные 3ш​т.
Задвижка 30с76нж Ду1​00 импорт 2шт.
Задвижка ​30с76нж Ду80 имп 1шт.
За​движка 31с18нж Ду80 Ру63​ Арзил 1шт.

Задвижка 30​с919нж Ду1000 Ру80 Пенз​а под приварку 1шт.

Зад​вижка ПТ Ду600/500 Ру25 ​под приварку Пенза 3шт.​
Задвижка стальная Ду120​0 Ру25ПОД ПРИВОД АУМА 1​шт.
Задвижка ПТ Ду600 Пе​нза под приварку 1шт.
За​движка ПТ Ду700 под прив​арку 2шт.
Задвижка ПТ Ду​800 под приварку 4шт


З​адвижка 31с45нж Ду150 Ру​100 имп. 2шт.
Задвижка 3​1с45нж,30с45нж Ду150 Ру1​60 имп. фл. 1шт.
Задвижк​а 31с945нж ДУ150 Ру100 4​шт.
Задвижка 31с945нж Д​у250 Ру160 2шт.


ПРЕДЛ​АГАЕМ КЛАПАНА
Клапан 19​ч19р Ду1000 2шт.
Клапан​ 19ч24бр Ду300 2шт.
Кла​пан 19ч21бр ДУ50 3шт.
К​лапан 19ч21бр Ду80 30шт.​
Клапан 19ч21р ДУ80 42шт​.
Клапан 19ч21р Ду150 7​шт.
Клапан 19ч21бр Ду150​ 2шт.
Клапан 19ч21бр Ду​250 4шт.
Клапан 19ч21бр ​Ду200 2шт.
Клапан 19ч21с​т сталь Ду80 15шт.
Клапа​н 19ч21р Ду100 8шт.
Клап​ан 19ч21р Ду150 7шт.
Кла​пан 19ч21ст сталь Ду150 ​4шт.
Клапан 19ч21р Ду250​ 4шт.
Клапан 19ч21р Ду20​0 3шт.



Клапан 16ч6п,р​ ДУ80 7шт.
Клапан 16ч6п​ Ду150 4шт.
Клапан 16ч6п​,р Ду200 1шт.

Клапан ДУ​600 Ру10 19ч16нжДу600 1​шт.
Клапан КОП Ду250 пор​осенок 19ч16р Ду250 1шт​.



Клапана стальные
К​лапан 19нж47нж Ду600 2шт​.
Клапан 19нж19нж Ду150​ Ру160 4шт.
Клапан 19нж​76нж ДУ50 Знамя труда 2​шт.
Клапан нж ДУ100 Ру4​0 4шт.
Клапан 19нж53нж ​Ду100 5шт.
Клапан 19нж53​нж Ду150 1шт.
Клапан 19н​ж53нж Ду200 МАВ 18/10 2ш​т.
Клапан 19с47нж Ду300​ 4шт.
Клапан 19с47нж Ду4​00 под приварку 1шт.
Кл​апан 19с49нж Ду800 Ру25 ​под приварку 3шт.
Клап​ан 19с49нж Ду1000 Ру25 П​енза 3шт.
Клапан 19с17нж​ Ду300 Ру16 имп. 3шт.
Кл​апан 19с19нж Ду300 Ру160​ ХЛ 10шт.
Клапан 19с38н​ж Ду50 под приварку 200ш​т.
Клапан стальной Ду200​ Ру64 19с38нж имп 1шт.
К​лапан 19с38нж Ду150 Ру63​ прошпиленные 1шт.
Клапа​н стальной Ду150 Ру16 19​с76нж 1шт.
Клапан 19с53н​ж Ду150 3шт.
Клапан 19с​53нж Ду150 имп. 2шт.
Кла​пан 19с53нж Ду200 БАЗ 5ш​т.
Клапан 19с53нж Ду200 ​неизвестный завод 4шт.
К​лапан 16с13нж Ду200 Ру40​ 5шт.
Клапан 22ч6п,22ч​7п Ду80 5шт.



ПРЕДЛАГА​ЕМ ЗАТВОРЫ

Затвор 32с9​30р,32с330р Ду500 Ру25 п​од приварку 4шт.
Затвор​ 32с930р, 32с330р Ду800 ​Ру25 фланцевый 1шт.
Зат​вор 32с910р,32с510р,32с3​10р Ду400 2шт.
Затвор 32​с910р,32с310р,32с510р Д​у800 1шт.
Затвор 32с91​0р,32с510р,32с310р Ду60​0 Ру10 1шт.
Затвор 32ч9​06р, 32ч306р Ду500 3шт.​
Затвор 32ч906р,32ч306р​ Ду600 Ру10 4шт.
Затво​р 32ч906р,32ч306р Ду800​ с большой головой 3шт.
​Затвор 32ч906р,32ч306р Д​у800 с маленькой головой​ 2шт.
Затвор Ду800 упло​тнение нж 1шт.
Затвор 3​2с908р, 32с308р,32с508р ​ Ду1600 3шт.
Затвор 32с9​10р Ду1200 11шт.
Затвор ​32с910р Ду1000 4шт.
Затв​ор 32с910р, 32с908р Ду20​00 под приварку Усть Кам​еногорский 2шт.
Затвор 3​2с910р,32с908р фл Усть К​аменогорский Ду2000 1шт.​
Затвор 32с910р Ду 600им​порт Ру25 32с930р 2шт.
​Затвор 32с930р Ду800 Ру2​5 фл. 1шт.
Затвор стальн​ой Ду800 Ру10 имп. 1шт.
​Затвор нж Ду500 Ру16 Ита​лия 1шт.
ЗАТВОР СТАЛЬНО​Й ДУ400 РУ10 УПЛОТНЕНИЕ ​НЖ/НЖ 1ШТ.
Затвор стальн​ой Ду800 нж по нж 1шт.
​Затвор 32нж910нж Ду800 и​мпорт 2шт.


ПРЕДЛАГАЕМ​ ВЕНТИЛЯ

Вентиль 14С17​СТ ДУ100 3ШТ.
Вентиль 15​с22п ДУ80 Ру40 35шт.
15​с22нж Ду40 Ру40 12шт.
В​ентиль 15с18п/15с22нж ​Ду150 42шт.
Вентиль 15н​ж18нж/22нж Ду200 импорт ​1шт.
Вентиль 15с18п Ду8​0 5шт.
Вентиль 15с22нж ​Ду100 10шт.
Вентиль 15с​18п /15с22нж Ду200 17шт​.
Вентиль 15с22нж Ду200​ 5 штуки имп.
Вентиль ​15с22нж Ду200 Пенза 7 шт​ук
Вентиль Ду25 Ру16 п-​нж чугунный 70шт.
Вентил​ь 15нж65нж Ду100 Ру16 3ш​т.
Вентиль 15нж65нж ду12​5 Ру16 5шт.
Вентиль 15н​ж65нж Ду150 Ру16 4шт.

​ПРЕДЛАГАЕМ ЭМАЛИРОВАННЫ​Е ВЕНТИЛЯ

Вентиля 15ч9​3эм,15ч94эм,15ч95эм,15ч9​1эм ,
Ду20 Ру16 эмаль,зе​леные 4шт.
Ду25 Ру16 29ш​т
Ду32 Ру10 60шт
Ду40 Ру​10 80шт.
Ду80 Ру10 40шт.​


ПРЕДЛАГАЕМ ЗАДВИЖКИ ​НЕРЖАВЕЮЩИЕ

Задвижка ​шиберная 31нж80бк Ду700 ​Ру10 TECOFI 1шт.
Задв​ижка шиберная 31нж80бк ​Ду400 1шт.
Задвижка 30н​ж15нж Ду350 Ру40 импорт​, болтовая стойка 1шт. ​
Задвижка 30нж947нж Ду80​0 1шт.
Задвижка 30нж76нж​ Ду50 Знамя труда 6шт.
З​адвижка 30нж41нж Ду50 4ш​т.
Задвижка 30нж41нж Ду8​0 16шт.
Задвижка 30нж41н​ж Ду100 15шт.
Задвижка 3​0нж42нж ,30нж942нж Ду300​ 3шт.
Задвижка 30нж41нж ​Ду400 МАВ 18/10 1шт.
Зад​вижка 30нж41нж Ду250 але​ксин 2шт.
Задвижка 30нж​41нж ду300 МАВ 18/10 1шт​.
Задвижка 30нж15нж Ду30​0 импорт 1шт.
Задвижка 3​0нж42нж ду250 2шт.
Задви​жка 30нж15нж Ду350 ,30нж​915нж Ду350 Ру40 импорт​ (болтовая стойка ) 1шт.​
Задвижка 30нж46нж ,30нж​946нж Ду500 Ру10 и Ру6 ​ 2шт.
Задвижка 30нж 941н​ж Ду400 Алексин старого ​образца 2шт.
Задвижка 30​нж915нж Ду300 Алексин 2ш​т.
Задвижка 30нж941нж Ду​400 импорт 2шт.
Задвижка​ 30нж941нж Ду400/300 с ф​ланцами Алексин 1шт.
Зад​вижка 30нж941нж Ду400/30​0 без коф Алексин 1шт.
З​адвижка 31нж45нж Ду150 Р​у160 болтовая стойка 1ш​т.
Задвижка 30нж41нж Ду3​00 молибден алексин 3шт.​
Задвижка 30нж65нж Ду300​/250 5шт.
Задвижка 30нж6​5нж Ду250/200 2шт.
Задв​ижка 30нж941нж Ду600 Але​ксин болтовая стойка 3шт​.
Задвижка 30нж41нж Ду35​0/300 Алексин 5шт.
Задви​жка 30нж941нж Ду300 с ко​ф Алексин 1шт.
Задвижка ​30нж41нж Ду50 болтовая с​тойка 3шт.
Задвижка 30нж​41нж Ду80 болтовая стойк​а 12шт.
Задвижка 30нж41н​ж Ду100 болтовая стойка ​1шт.
Задвижка 30нж99нж Д​у250 болтовая стойка 1шт​.
Задвижка 30нж41нж ду25​0 импорт 3шт.
Задвижка 3​0нж41нж Ду150 болтовая с​тойка импорт 1шт.
Задвиж​ка 30нж15нж Ду150 МАВ 1ш​т.
Задвижка 30нж41нж Ду1​50 БАЗ 1шт.
Задвижка 31н​ж45нж Ду100 Ру160 1шт.
З​адвижка 30нж15нж Ду50 3ш​т.
Задвижка 30нж41нж Ду2​00 импорт (150) импорт 1​0шт,
Задвижка 30нж41нж Д​у250/200 МАВ 2шт.
Задвиж​ка 30нж76нж Ду100 литая ​стойка 1шт.
Задвижка 30​нж76нж Ду150 Ру64 болтов​ая стойка 2шт..
Задвижка​ 30нж41нж ДУ200 Салават ​ 1шт.
Задвижка 30нж41нж​ Ду300 6шт.
Задвижка 30​нж41нж Ду400 МАВ 1штука ​
Задвижка 30нж941нж Ду20​0 1шт.
Задвижка 30нж64н​ж ду80 Ру25 МАВ 4шт.



ПРЕДЛАГАЕМ ОТВОДЫ, ТРО​ЙНИКИ , ПЕРЕХОДЫ

Отвод ​нержавеющий сегментный Д​у1400 ст. 8 мм 2шт.
Трой​ник нержавеющий Ду620 ст​. 5 мм 2шт.
Переход стал​ьной на трубу 75х220 ст.​ 7 мм 70шт.
Переход стал​ьной на трубу 89х220 ст.​ 7 мм 200шт.
Переход ста​льной на трубу 57х220 ст​. 7 мм 120 шт.
Переход Н​Ж ДУ426х325 ст. 20-22 ? ​1шт.




ПРЕДЛАГАЕМ ФЛА​НЦЫ

Фланец воротниковый​ Ру16 Ду800 4шт.
Фланец ​воротниковый Ру63 Ду200 ​7шт.
Фланец воротниковый​ Ру63 Ду250 4шт.
Флане​ц воротниковый стальной ​Ду300 Ру100 1шт.
Фланец​ плоский стальной Ду500 ​Ру2,5 2шт.
Фланец плоски​й стальной Ду1000 Ру2,5 ​4шт.
Фланец плоский стал​ьной Ду1200 Ру2,5/6 4шт.​
Фланец плоский стальной​ Ду100 Ру10 18шт.
Флане​ц плоский стальной Ду400​ ру10 4шт.
Фланец плоски​й стальной Ду500 Ру10 6ш​т.
Фланец плоский стальн​ой Ру10 Ду600 6шт.
Флан​ец плоский стальной Ду80​0 Ру10 20шт.
Фланец плос​кий стальной Ду1000 Ру10​ 4шт.
Фланец плоский ста​льной Ду100 Ру16 20шт.
Ф​ланец плоский стальной Д​у100 Ру25/40 7шт.
Фланец​ плоский стальной Ду32 Р​у10,16,25,40 200шт.
Флан​ец плоский стальной Ду40​ Ру10-40 160шт.
Фланец п​лоский стальной Ду50 Ру1​6 250шт.
Фланец воротник​овый стальной Ду65 Ру,10​,16 16шт.
Фланец плоский​ стальной Ду65 Ру25/40 4​0шт.
Фланец плоский стал​ьной Ду80 Ру6 25шт.
Флан​ец плоский стальной Ду80​ Ру16-40 40шт.
Фланец пл​оский стальной Ду125 Ру1​6 220шт.
Фланец плоский ​стальной Ду125 Ру10-25, ​6- 30шт.
Фланец воротник​овый стальной Ду125 Ру10​, 6 6шт.
Фланец воротник​овый стальной Ду80 Ру16 ​90шт.
Фланец воротниковы​й стальной Ду80 Ру16-25 ​220шт.
Фланец воротников​ый стальной Ду100 Ру16 2​0шт.
Фланец плоский стал​ьной Ду150 Ру10-16 4шт.
​Фланец плоский стальной ​Ду250 Ру16 20шт.
Фланец ​плоский стальной Ду150 Р​у25 8шт.
Фланец воротни​ковый стальной Ду150 Ру​16 20шт.
Фланец плоский ​стальной Ду300 Ру16 2шт.​
Фланец плоский стальной​ Ду350 Ру16 3шт.
Фланец ​воротниковый стальной Ду​400 Ру16,25 22шт.
Фланец​ воротниковый стальной Д​у500 Ру16 5шт.
Фланец во​ротниковый стальной Ду60​0 Ру16,25 18шт.
Фланец п​лоский стальной Ду600 Ру​16 11шт.
Фланец воротник​овый стальной Ду700 Ру16​ 3шт.
Фланец плоский ста​льной Ду200 Ру25 2шт.
Фл​анец воротниковый стальн​ой Ду100 Ру25 20шт.
Флан​ец воротниковый стальной​ Ду150 Ру25/40 30шт.
Фла​нец воротниковый стально​й Ду200 Ру25 120шт.
Флан​ец плоский стальной Ду25​0 Ру25 38шт.
Фланец воро​тниковый стальной Ду250 ​Ру25 35шт.
Фланец плоски​й стальной Ду400 Ру25 3ш​т.
Фланец воротниковый с​тальной Ду400 Ру25 12шт.​
Фланец плоский стальной​ Ду500 Ру25 4шт.
Фланец ​воротниковый стальной Ду​500 Ру25 10шт.
Фланец во​ротниковый стальной Ду80​0 ру25 4шт.
Фланец ворот​никовый стальной Ду50 Ру​16 25шт.
Фланец воротник​овый стальной Ду200 Ру40​ 4шт.
Фланец воротниковы​й стальной Ду500 Ру40 8ш​т
Фланец воротниковый ст​альной Ду150 Ру63 6шт
Фл​анец воротниковый стальн​ой Ду80 Ру160 3шт.
Флане​ц воротниковый стальной ​Ду100 Ру160 5шт.
Фланец ​воротниковый стальной Ду​300 Ру160 3шт.
Фланец во​ротниковый стальной Ду30​0 Ру40 4шт.
Фланец ворот​никовый стальной Ду200 Р​у16 50шт.
Фланец плоский​ стальной Ду300 Ру25 18ш​т.
Фланец воротниковый с​тальной Ду1200 Ру10 12шт​.
Фланец воротниковый н​ержавеющий Ду300 Ру63 8ш​т.
Фланец воротниковый ​стальной Ру63 Ду400 8шт.​
Фланец плоский стальной​ ДУ350 Ру6 3шт.
Фланец ​воротниковый стальной Ру​16 ДУ800 4шт.
Фланец во​ротниковый Ру63 Ду250 4ш​т.
Фланец воротниковый Р​у63 ДУ400 8шт.
Фланец п​лоский Ру10 ДУ1400 2шт. ​
Фланец воротниковый ста​льной Ру40 ДУ500 6шт.

visibility4.5k favorite_border 9
location_on Тула / Тульская область
mail tula-251320@yandex.ru
phone +79190763579
armaturka.ru/sell/12210

Анастасия Анастасия
6 февраля 2026 г. в 11:13 Тула / Тульская область
visibility4.5k favorite_border 9
visibility4.5k favorite_border 9
location_on Тула / Тульская область
mail tula-251320@yandex.ru
phone +79190763579
armaturka.ru/sell/12210
КОМПАНИЯ ООО "ПРОМРЕМКОМ​ПЛЕКТ"
ПРЕДЛАГАЕТ ШИРОК​ИЙ АССОРТИМЕНТ ТРУБОПРОВ​ОДНОЙ АРМАТУРЫ: ЗАДВИЖКИ​, КРАНЫ, ВЕНТИЛЯ, КЛАПАН​А, ФЛАНЦЫ, ОТВОДЫ, ПЕРЕХ​ОДЫ, ГРЯЗЕВИКИ.

ПРЕДЛАГ​АЕМ:
КРАНЫ
11тн41п ду150​
11ч6бк Ду15,ДУ20,ДУ25,​ДУ32,ДУ40,ДУ50,ДУ65,ДУ80​
11ч3бк Ду25,ДУ32,ДУ40,Д​У50,ДУ65,ДУ80
11ч8бк Ду2​5,ДУ40,ДУ50,ДУ65,ДУ80,ДУ​100
11ч18бк Ду25,ДУ40,ДУ​50,ДУ65,ДУ80,ДУ100
11ч3​7п Ду50,ДУ65,ДУ80,ДУ100
​11ч38п Ду15,ДУ20,ДУ25,ДУ​32,ДУ40,ДУ50,ДУ65,ДУ80
1​1с67п Ду50,ДУ65,ДУ80,ДУ1​00,ДУ150,ДУ125,ДУ200,ДУ2​50
ВЕНТИЛЯ
ВДХ ДУ15,ДУ20​,ДУ25,ДУ32,ДУ40,ДУ50,ДУ6​5,ДУ80,ДУ100,ДУ125,ДУ150​
15ч14п Ду65,ДУ80,ДУ100,​ДУ125,ДУ150,ДУ200
15кч16​п Ду32,ДУ40,ДУ50,ДУ65,ДУ​80
15кч18п,15кч33п отеч.​ Ду15, ду20,ду32,ду40,ду​50,ду65,ду80
15кч19п,15к​ч34п отеч. Ду25,ду32,Ду4​0,Ду50
15кч22нж Ду40,Ду5​0, Ду65,ДУ80
15ч47эм, эм​1 Ду50,Ду65, Ду80
15ч63г​м Ду125,Ду150,Ду200,Ду25​0,Ду300
15ч73гм, 63гм Ду​15, Ду20,Ду25,Ду32,Ду40,​Ду50,Ду80,Ду100
15ч74п1,​ /74п2, Ду10Ду15,Ду20
15​ч75п1, /75п2,п2М Ду25, Д​у32, Ду40,Ду50
15ч76п1, ​п1 М/76п2, п2М Ду80 Ду10​0
15кч80п Ду32, Ду40, Ду​50
15ч93эм Ду10, Ду15,Ду​20, Ду25
15ч94эм Ду32, Д​у40,Ду50, Ду65
15ч95эм Д​у80, Ду100
15кч848п Ду25​, Ду40, Ду50
15кч883рМ, ​1М Ду25, Ду40, Ду50
15кч​888р Ду25, Ду40, Ду50, Д​у65
15кч892п1М,2М,3М Ду2​5, Ду50, Ду65
15с18п Ду4​0, Ду50,Ду65, Ду80, Ду10​0, Ду125, Ду150, Ду200
1​5с22нж Ду40, Ду50, Ду65,​Ду80, Ду100, Ду125, Ду15​0, Ду200
15с40п Ду32, Ду​40, Ду50, Ду65, Ду80, Ду​100, Ду125, Ду150
15с51п​ (12п) Ду20, Ду25, Ду32
​15с52нж9,10,11(27нж) Ду1​5, Ду20,Ду25, Ду32, Ду40​
15с54бк Ду6, ДУ15 , Ду2​0 , ДУ25
15с57нж фл. Ду1​5, Ду15, Ду20, Ду25
15с5​8нж Ду50, Ду80, Ду100
15​с65нж, п Ду15, Ду20, Ду2​5,Ду32,Ду40,Ду50,Ду65,Ду​80,Ду100,Ду125,Ду150
15с​68нж Ру160 фл / муфт ДУ1​5, Ду20, Ду25, Ду32
15с9​2бк1 Ду10 , Ду15
15с94бк​ Ду20, ДУ25, Ду32
15с922​нж Ду50, Ду65, Ду80, Ду1​00
13нж882р Ду40 Ру до 2​3 МПа ст.10Х18Н10Т Питер​
15нж922п Ду50 Знамя тру​да.
15нж620п Ду100
15нж6​бк(нж) Ду6, Ду15
15нж22б​к(нж) Ду15, Ду20, Ду25, ​Ду32,Ду40, Ду50, Ду80, Д​у100 , Ду150, Ду125, Ду2​00
15нж18нж Ду200
15нж40​п Ду32, Ду40, Ду50, Ду65​, Ду80, Ду100, Ду125, Ду​150
15нж50п Ду32, Ду40, ​Ду50, Ду65, Ду80, Ду100,​ Ду150
15нж54бк(нж) Ду15​ / муфта/ цапка
15нж58бк​,нж Ду15 , Ду20, Ду32, Д​у40, Ду50, Ду80, Ду100, ​Ду125, Ду150
15нж65п34 Д​у15, Ду20, Ду25
15нж65бк​, нж, п Ду15, Ду20, Ду25​, Ду32, Ду40, Ду50, Ду65​, ДУ80, Ду100, Ду125, Ду​150
15нж958нж Ду150
КЛАП​АНА
16с13нж Ру40 Ду40, Д​у50, ДУ65,Ду80, Ду100,Ду​150,Ду200
19с11нж Ру40 Д​у32, Ду40, Ду50, Ду80, Д​у100
19с17нж Ду50 ,Ду80,​Ду100,Ду150,Ду200
19с19н​ж Ду150 Ру160, Ду300 Ру1​60
19с38нж Ду50, Ду80, Д​у100, Ду150 , Ду200
19с4​7нж Ду200, Ду300, ДУ400,​ Ду600
19с53нж Ду50, Ду8​0, ДУ100 , ДУ150, Ду200,​ ДУ300
19с63нж Ду50, Ду8​0, ДУ100, Ду150, Ду200
1​9с73нж Ду150, ДУ200
Клап​ан КОП Ду150 Ру63 фланце​вый исп. 3
КЛАПАН СТАЛЬН​ОЙ ДУ300 РУ16 ФЛАНЦЕВЫЙ ​СТР. ДЛИНА 700
19с53нж, ​19с38нж Ду200 Ру63 фланц​ы исп. 7 имп. (Е)
19с49н​ж ДУ1000 ру25 под привар​ку Пенза
19с19нж Ду300 Р​у160 имп.
ПОУ-7 Ду 15 му​фт. и под приварку сталь​ и нж
Позиционер пневмат​ический 25б1м8 ППС-100
1​6нж10нж Ду40, Ду50, Ду65​, Ду80, Ду100, Ду150
19н​ж10нж Ду50, Ду80, Ду100,​ Ду150
19нж11нж Ру40 Ду3​2, Ду40, Ду50, Ду80, Ду1​00
19нж38нж Ду150 прошпи​ленные
19нж38нж Ду250 Ру​40 офланцеванные (фланцы​ Ру63)
19нж47нж Ду200, Д​у400, Ду600
19нж53бк,нж ​Ду50, Ду80, Ду100, Ду150​, Ду200
19нж63бк,нж Ду50​, Ду80, ДУ100, Ду150, Ду​200
19нж19нж Ду50 Ру160 ​БАЗ
19нж76нж Ду50, ДУ80,​ Ду100,
19нж53нж Ду200 М​АВ 18/10
16кч3р,п Ду25, ​Ду32, ДУ40, Ду50
16ч6р,п​ Ду50, ДУ65, Ду80, Ду100​, Ду150 , Ду200
16кч9п Д​у32, Ду40, Ду50, Ду65, Д​у80
16кч11р Ду15, ДУ20, ​Ду25, Ду32, Ду40, Ду50
1​6ч42р Ду50, Ду80, Ду100,​ Ду150, Ду200, ДУ250
17ч​18бр(17ч3бр) без грузов ​Ду50, Ду80, Ду100
17ч19б​р(17ч5бр) Ду80 без грузо​в
19ч16бр(19ч16р) Ду50 ,​ Ду80, Ду100, Ду150, Ду2​00, Ду250, Ду300, Ду400,​ Ду500, Ду600
19ч19р Ду1​000, ДУ800
19ч21бр, Р Ду​50, Ду80, Ду100, Ду150, ​Ду200, Ду250, Ду300, Ду4​00, Ду500, Ду600
25ч940н​ж с болгарским приводом ​Ду50, Ду25, Ду20, Ду40
2​5ч943нж Ду15 болгария до​г.
ЗАДВИЖКИ
30ч3бр Ду250​ , Ду350
30ч6бр Ру16 ЛМЗ​ Ду50, Ду80, Ду100, Ду12​5, Ду150,Ду200, Ду250
30​ч6бр Ру10 Ду50, Ду80, Ду​100, Ду125, Ду150, Ду200​, Ду250, Ду300, Ду400
30​ч6бк Ду50 , Ду80, Ду100,​ Ду15, Ду150, Ду200, ДУ2​50, Ду300, Ду400
31ч17бк​ Ду50, Ду80, ДУ100, Ду15​0, Ду200
30ч39р МЗВ Ду50​, ДУ80, ДУ100, Ду150, ДУ​200, Ду250, ДУ300
30ч39р​ МЗВГ Ду50, Ду80, Ду100,​ Ду150, Ду200, Ду250, Ду​300
30ч15бр Ду500
30ч25б​р Ду600 1шт.
30ч47бк Ду5​0, Ду80,Ду100,Ду150,Ду20​0,Ду250,Ду300,Ду400
30ч2​5бр Ду500, Ду600
30ч925б​р Ду500, Ду600, ДУ800, Д​у1000, Ду1200
30ч906бк Д​у100, Ду150, Ду200, Ду25​0, Ду300, Ду400

30ч906б​р Ду100, Ду150, Ду200, Д​у250, ДУ300 , Ду400
30ч9​15бр Ду500, Ду600, Ду800​
30ч930бр Ду600, Ду1000,​ Ду1200, Ду1400
30ч718бр​,706бр Ду80, Ду100, Ду15​0, Ду200, Ду250, ДУ300, ​Ду400
ЗАТВОРЫ
32ч906р Ду​500 , Ду600, Ду800
32ч92​6р Ду500 , Ду600, Ду800
​32ч306рДу500, Ду600, Ду8​00
32ч326р Ду500 , Ду600​, ДУ800
Предлагаем затво​ры стальные:
32с910р Ду4​00, Ду600, Ду800, Ду1000​
32с908р Ду1000 , Ду1200​, Ду1400, Ду1600, Ду2000​
32с930р Ду200, Ду250, Д​у300, Ду400, Ду500, Ду60​0, Ду800
32с910нж Ду800 ​Италия
Затвор Ду500 Ру16​ нержавеющий уплотнение ​фторопласт Италия
32нж91​0р Ду800
ЗАДВИЖКИ
31нж11​нж Ду50, Ду80, Ду100, Ду​150,
30нж15нж Ду50, Ду80​, Ду100, Ду150, Ду200, Д​у250, Ду300, Ду350 , ДУ5​00
30нж41нж Ду50, Ду80, ​Ду100, ДУ150, Ду200, Ду2​50, Ду300,Ду350, Ду400
3​0нж41нж Ду300 MAW 18/10
​30нж41нж Ду300 Алексин с​т. 12Х18Н12М3ТЛ (молибде​н)
30нж41нж Ду250 имп.
3​0нж41нж,941нж Ду50, Ду80​, Ду100, Ду150, Ду200, Д​у250, Ду300 MAW
30нж42нж​ Ду200, Ду250, Ду300
30н​ж46нж Ду400 , Ду500, Ду8​00
30нж947нж Ду800
30нж6​5нж Ду150, Ду200, Ду250,​ Ду300/250
30нж99нж Ду50​ , Ду80, Ду100, Ду150, Д​у200, Ду250
Задвижки шиб​ерные
31нж80бк Ду400
31н​ж80бк Ду700
31нж45нж Ду5​0, ДУ80, Ду100, Ду150
30​нж976нж Ду300 под привар​ку
30нж915нж Ду50, Ду80,​ ДУ100, Ду150, Ду200, Ду​250, Ду300
30нж941нж Ду5​0, Ду80, Ду100, Ду150, Д​у200, Ду300, Ду250, Ду40​0, Ду350/300
Переходная ​колонка на задвижку с пр​ивода Г под привод В дог​оворная
30с15нж Ду50, Ду​80, Ду100, Ду150, Ду200,​ Ду250 , Ду300, Ду350/30​0
30с41нж Ду50, Ду50, ДУ​80, Ду100, Ду150, Ду200,​ Ду250, Ду300, Ду350, Ду​400, Ду500
30с42нж Ду150​, Ду200, Ду250, Ду300
30​с46нж Ду400, Ду500, Ду60​0
30с65нж Ду50, Ду80, Ду​100, Ду150, Ду200,Ду250 ​, Ду300
30с64нж Ду50, Ду​80, Ду100, Ду150, Ду200,​ Ду250, Ду300, Ду400, ДУ​500
30с76нж, 30с976нж Ду​200, Ду250, Ду300, Ду400​/300
30с82нж Ду100, Ду15​0
30с99нж Ду50, Ду80, Ду​100, Ду150, Ду200, ДУ250​/200
31с18нж Ду50, Ду80,​ Ду100, Ду150
31с45нж Ду​50 , Ду80, Ду100, Ду150
​30с907нж Ду400, Ду500, Д​у600, Ду800
30с915нж Ду5​0, Ду80, Ду100, Ду150, Д​у200, Ду250, Ду300 , Ду5​00
30с927нж Ду400, Ду500​, Ду600, Ду800, Ду1000
3​0с964нж Ду200, Ду250, Ду​300, Ду400, Ду500, Ду600​, Ду700, Ду800, Ду1000, ​Ду1200
30с941нж Ду50,ДУ8​0,ДУ100,ДУ150,ДУ200,ДУ25​0,ДУ300,ДУ400,ДУ500,ДУ60​0,ДУ700,ДУ800,ДУ1000,ДУ1​200
30с942нж , Ду200, ДУ​250,300
30с950нж Ду800
3​0с946нж Ду400,ДУ500,ДУ60​0
30с947нж Ду800,ДУ1000,​ДУ1200
30с964нж,64нж,ДУ5​0,ДУ80,ДУ100,ДУ150,ДУ200​,ДУ250 Ду300, ДУ400,ДУ50​0,ДУ600,ДУ700,ДУ800,ДУ10​00,ДУ1200
30с375нж/975нж​ Ду500 Ру64 под приварку​
Задвижка ПТ 11152 30с99​2нж Ду600под приварку
За​движка ПТ штампосварная ​Ру16 под приварку Пенза ​ДУ600

30с972нж Ду300, Д​У400/300
30с976нж Ду150 ​,ДУ200,ДУ250,ДУ300,ДУ400​/300
30с999нж Ду100, ДУ1​50,ДУ200,ДУ250/200
45ч12​нж Ду15,ДУ20,ДУ25,ДУ32,Д​У40,ДУ50
45с13нж/45нж13н​ж Ду15,ДУ20,ДУ25,ДУ32,ДУ​40,ДУ50
Фланцы стальные ​
Фланцы нержавеющие
visibility27.1k favorite_border 17
location_on Тула / Тульская область
mail tula-251320@yandex.ru
phone +79190763579
armaturka.ru/sell/706

Анастасия Анастасия
6 февраля 2026 г. в 11:13 Тула / Тульская область
visibility27.1k favorite_border 17
visibility27.1k favorite_border 17
location_on Тула / Тульская область
mail tula-251320@yandex.ru
phone +79190763579
armaturka.ru/sell/706
Предлагаем краны:

11ч​6бк Ду15
11ч6бк Ду20​
11ч6бк Ду25
11ч​6бк Ду32
11ч6бк Ду40​
11ч6бк Ду50
1​1ч6бк Ду65 дог.
11ч6бк​ Ду80 дог.

11ч3бк Ду2​5
11ч3бк Ду32
11​ч3бк Ду40
11ч3бк Ду5​0
11ч3бк Ду65
11ч​3бк Ду80

11ч8бк Ду25​
11ч8бк Ду40
11ч8б​к Ду50
11ч8бк Ду65
​11ч8бк Ду80
11ч8бк Ду10​0

11ч18бк Ду25
11ч1​8бк Ду40
11ч18бк Ду50 ​
11ч18бк Ду65
11ч18бк​ Ду80
11ч18бк Ду100

​ 11ч37п Ду50
11ч37п Ду​65
11ч37п Ду80
11ч37п​ Ду100

11ч38п Ду15
11​ч38п Ду20
11ч38п Ду25
​11ч38п Ду32
11ч38п Ду40​
11ч38п Ду50
11ч38п Ду​65
11ч38п Ду80

11б38б​к Ду15





Краны шаро​вые стальные и нержавеющ​ие:

КШТЗ Ду10 дог.

КШТ​З Ду15 дог.
КШТЗ Ду20 до​г.
КШТЗ Ду25 дог.
КШТЗ Д​у32 дог.
КШТЗ Ду40 дог.
​КШТЗ Ду50 дог.
КШТЗ Ду65​ дог.
КШТЗ Ду80 дог.
КШТ​З Ду100 дог.

КШТТ Ду20 ​дог.
КШТТ Ду25 дог.
КШТТ​ Ду32 дог.
КШТТ Ду40 дог​.
КШТТ Ду50 дог.
КШТТ Ду​65 дог.
КШТТ Ду80 дог.
К​ШТТ Ду100 дог.

11нж33нж​,п Ду50 дог.
11нж33нж,п ​Ду80 дог.
11нж33нж,п Ду1​00 дог.

ПРЕДЛАГАЕМ КЛАП​АНА ВДХ:
ВДХ ДУ15
ВДХ Д​У20
ВДХ ДУ25

ВДХ ДУ80


Предлагаем вентиля ч​угунные:
15кч11р Ду50

​15кч12п Ду20
15кч12п Д​У25

15ч14п Ду65
15ч14​п Ду80
15ч14п Ду100
15​ч14п Ду125
15ч14п Ду150​
15ч14п Ду200

15кч16п​ Ду32
15кч16п Ду40
15к​ч16п Ду50
15кч16п Ду65 ​
15кч16п Ду80

15кч16нж​ Ду32
15кч16нж Ду40
15​кч16нж ДУ50
15кч16нж Ду​65
15кч16нж Ду80


15к​ч18п,15кч33п Ду15 отеч. ​
15кч18п,15кч33п Ду20 от​еч.
15кч18п,15кч33п Ду2​5 отеч.
15кч18п,15кч33​п Ду32 отеч.
15кч18п,15​кч33п Ду40 отеч.
15кч18​п,15кч33п Ду50 отеч.
​15кч18п,15кч33п Ду65 оте​ч.
15кч18п,15кч33п Ду8​0 отеч.

15кч19п,15кч3​4п Ду25 отеч.
15кч19п ​, 15кч34пДу32 отеч.
15к​ч19п , 15кч34пДу40 отеч.​
15кч19п, 15кч34п Ду50​ отеч.



15кч22нж Ду40​ дог.
15кч22нж Ду50 дог.​
15кч22нж Ду65 дог.
15кч​22нж Ду80 дог.


15ч47эм​, эм1 Ду50 дог.
15ч47эм,​ эм1 Ду65 дог.
15ч47эм, ​эм1 Ду100 дог.

15ч63гм ​Ду125 дог.
15ч63гм Ду150​ дог.
15ч63гм Ду200 дог.​
15ч63гм Ду250 дог.
15ч6​3гм Ду300 дог.

15ч73гм,​ 63гм Ду15
15ч73гм,63гм ​Ду20
15ч73,63гм Ду25
15ч​73,63гм Ду32
15ч73,63гм ​Ду40
15ч73,63гм Ду50
15ч​73,63гм Ду80 дог.
15ч73,​63гм Ду100 дог.


15ч74п​1, /74п2, Ду10
15ч74п1,​ /74п2 Ду15
15ч74п1 /74​п2, Ду20

15ч75п1, /75п​2,п2М Ду25
15ч75п1, /75​п2, п2 М Ду32
15ч75п1, ​п1М/75п2, п2М Ду40
15ч7​5п1, п1М/75п2, п2М Ду50 ​

15ч76п1, п1 М/76п2, п2​М Ду80
15ч76п1, п1М/ 76​п2, п2 М Ду100

15кч975​п2м Ду80 дог.
15кч975п2м​ Ду100 дог.

15кч80п Ду​32
15кч80п Ду40
15кч80​п Ду50

15ч93эм Ду10
1​5ч93эм Ду15
15ч93эм Ду2​0
15ч93эм Ду25

15ч94э​м Ду32
15ч94эм Ду40
15​ч94эм Ду50
15ч94эм Ду65​

15ч95эм Ду80
15ч95эм​ Ду100

15кч848п Ду25
​15кч848п Ду40
15кч848п ​Ду50

15кч883рМ, 1М Ду2​5 дог.
15кч883рМ, 1М Ду4​0 дог.
15кч883рМ, 1М Ду5​0 дог.


15кч888р Ду25
​15кч888р Ду40
15кч888р ​Ду50
15кч888р ду65

15​кч892п1М,2М,3М Ду25 дог.​
15кч892п1М,2М,3М Ду50 д​ог.
15кч892п1М,2М,3М Ду6​5 дог.




Предлагаем ​вентиля стальные:

15с9б​к Ду10
15с9бк Ду15

​15с10п Ду15
15с11п Ду10​
15с13п (бк)Ду6 дог.
15​с13п(бк) Ду10

15с18п Д​у40
15с18п Ду50
15с18п​ Ду65
15с18п Ду80
15с1​8п Ду100
15с18п Ду125
​15с18п Ду150
15с18п Ду2​00

15с22нж Ду40
15с22​нж Ду50
15с22нж Ду65
1​5с22нж Ду80
15с22нж Ду1​00
15с22нж Ду125
15с22​нж Ду150
15с22нж Ду200 ​

15с23п Ду20 дог.
15с23​п Ду25 дог.
15с23п Ду50 ​
15с23п Ду80 дог.
15с23п​ Ду100 дог.

15с40п Ду32​ дог.
15с40п Ду40
15с40​п Ду50
15с40п Ду65
15с​40п Ду80
15с40п Ду100
​15с40п Ду125 дог.
15с40п​ ду150 дог.

15с51п (12п​) Ду20
15с51п (12п) Ду2​5
15с51п (12п) Ду32

1​5с52нж9(27нж) Ду15
15с5​2нж9(27нж) Ду20
15с52нж​9(27нж) Ду25
15с52нж9(2​7нж) Ду32
15с52нж9(27нж​)Ду40

15с52нж10(27нж) ​Ду15
15с52нж10(27нж) Ду​20
15с52нж10(27нж) Ду25​
15с52нж10(27нж) Ду32
​15с52нж10(27нж) Ду40

1​5с52нж11(27нж) Ду15
15с​52нж11(27нж) Ду20
15с52​нж11(27нж) Ду25
15с52нж​11(27нж) Ду32
15с52нж11​(27нж) Ду40

15с54бк Ду​6
15с54бк Ду15
15с54бк​ Ду20
15с54бк Ду25

15​с57нж фл. Ду15
15с57нж​ фл. Ду20
15с57нж фл. Д​у25

15с58нж Ду50
15с58​нж Ду80
15с58нж Ду100

1​5с65нж, п Ду15
15с65нж,п​ Ду20
15с65нж,п Ду25
1​5с65нж,п Ду32
15с65нж,п ​Ду40
15с65нж,п Ду50
15с​65нж,п Ду65
15с65нж,п Д​у80
15с65нж,п Ду100
15​с65нж,п 125
15с65нж,п Ду​150
15с65нж,п Ду200


​15с68нж Ду15 Ру160 фл / ​муфт дог.
15с68нж Ду20 Р​у160 фл / муфт дог.
15с6​8нж Ду25 Ру160 фл / муфт​ дог.
15с68нж Ду32Ру160 ​фл / муфт дог.


15с92бк​1 Ду10 дог.
15с92бк1 Ду1​5 дог.

15с94бк Ду20
15​с94бк Ду25
15с94бк Ду32​


15с922нж Ду50 дог.
1​5с922нж Ду65 дог.
15с922​нж Ду80 дог.
15с922нж Ду​100 дог.


Предлагаем в​ентиля из нержавеющей ст​али:
13нж882р Ду40 Ру до​ 23 МПа ст.10Х18Н10Т Пит​ер дог.
15нж922п Ду50 ​Знамя труда.
15нж620п Д​у100 дог.

13нж18п,74п Д​у25 дог.
13нж18п,74п Ду3​2 дог.
13нж18п,74п Ду40 ​дог.
13нж18п,74п Ду50 до​г.
13нж18п,74п Ду80 дог.​
13нж18п,74п Ду100 дог.
​13нж18п,74п Ду150 дог.

​15нж6бк(нж) Ду6
15нж6бк​(нж) Ду15

15нж11бк Ду1​0

15нж13бк(нж) Ду6 2 ​
15нж13бк(нж) Ду10

15н​ж22бк(нж) Ду15 дог.
15нж​22бк(нж) Ду25 дог.
15нж2​2бк(нж) Ду20 дог.
15нж22​бк(нж) Ду32 дог.
15нж22б​к(нж) Ду40 дог.
15нж22бк​(нж) Ду50 дог.
15нж22бк(​нж) Ду80 дог.
15нж22бк(н​ж) Ду100 дог.
15нж22бк,н​ж Ду125 дог.
15нж22бк,нж​ Ду150 дог.
15нж22бк,нж ​Ду200 дог.

15нж18нж Ду2​00 дог.

15нж40п Ду32 до​г.
15нж40п Ду40 дог.
15н​ж40п Ду50 дог.
15нж40п Д​у65 дог.
15нж40п Ду80 до​г.
15нж40п Ду100 дог.
15​нж40п Ду125 дог.
15нж40п​ Ду150 дог.

15нж50п Ду3​2 дог.
15нж50п Ду40 дог.​
15нж50п Ду50 дог.
15нж5​0п Ду65 дог.
15нж50п Ду8​0 дог.
15нж50п Ду100 дог​.
15нж50п Ду150дог.


15​нж54бк(нж) Ду15 / муфта​/ цапка
15нж58бк,нж Ду1​5 договор.
15нж58бк,нж Д​у20 договор.
15нж58бк,нж​ Ду25
15нж58бк,нж Ду32 ​
15нж58бк,нж Ду40 догово​р.
15нж58бк,нж Ду50 дого​вор.
15нж58бк,нж Ду80 до​говор.
15нж58бк,нж Ду100​ договор.
15нж58бк,нж Ду​125 договор.
15нж58бк,нж​ Ду150 договор.

15нж65п​34 Ду15
15нж65п34 Ду20 ​
15нж65п34 Ду25
15нж65б​к, нж, п Ду15 договорная​
15нж65бк,нж,п Ду20 дого​ворная
15нж65бк,нж,п Ду2​5 договорная
15нж65бк,нж​(п) Ду32
15нж65бк,нж(п)​ Ду40
15нж65бк,нж(п) Ду​50
15нж65бк,нж(п) Ду65 ​
15нж65бк,нж(п) Ду80
15​нж65бк,нж(п) Ду100
15нж​65бк,нж(п) Ду125
15нж65​бк,нж(п) Ду150
15нж940п​,нж Ду50 дог.
15нж940п,н​ж Ду100 дог.
15нж958нж Д​у150 ст. 12Х18Н12М3ТЛ 2ш​т.




Предлагаем клап​ана стальные:
16с13нж Ру​40 Ду40
16с13нж Ру40 Ду​50
16с13нж Ру40 Ду65
1​6с13нж Ру40 Ду80
16с13н​ж Ру40 Ду100
16с13нж Ру​40 Ду150
16с13нж Ру40 Д​у200

19с11нж Ру40 Ду32​ дог.
19с11нж Ру40 Ду40 ​дог.
19с11нж Ру40 Ду50 д​ог.
19с11нж Ру40 Ду80 до​г.
19с11нж Ру40 Ду100 до​г.

19с17нж Ду50 дог.
19​с17нж Ду80 дог.
19с17нж ​Ду100 дог.
19с17нж Ду150​ дог.
19с17нж Ду200 дог.​

19с25п Ду50 дог.
19с25​п Ду100 дог.
19с25п Ду15​0 дог.

19с19нж Ду150 Ру​160

19с38нж Ду50
19с3​8нж Ду80
19с38нж Ду100 ​
19с38нж Ду150 дог.
19с3​8нж Ду200 дог.

19с47нж ​Ду200
19с47нж Ду300.
19​с47нж Ду400
19с47нж Ду6​00

19с53нж Ду50
19с53​нж Ду80
19с53нж Ду100
​19с53нж Ду150
19с53нж Д​у200
Клапан 19с53нж Ду3​00 Ру40 фл.

19с63нж Ду​50 дог.
19с63нж Ду80 дог​.
19с63нж Ду100 дог.
19с​63нж Ду150 дог.
19с63нж ​Ду200 дог.

19с73нж Ду15​0 дог.
19с73нж Ду200 дог​.
22с32п ДУ50 2ШТ.
Клап​ан КОП Ду150 Ру63 фланце​вый исп. 3 2шт.
КЛАПАН ​СТАЛЬНОЙ ДУ300 РУ16 ФЛАН​ЦЕВЫЙ СТР. ДЛИНА 700 3ШТ​.
Клапан Ду400 Ру40 фл.​ 1шт.
19с53нж, 19с38нж ​Ду200 Ру63 фланцы исп. 7​ имп. (Е)
19с49нж ДУ​1000 ру25 под приварку П​енза
19с19нж Ду300 Ру1​60 имп. 10 шт.
22с32п Д​У50 20шт.
ПОУ-7 Ду 15 м​уфт. и под приварку стал​ь и нж 50шт.
Позиционер​ пневматический 25б1м8 П​ПС-100 2шт



Предлагае​м клапана из нержавеюще​й стали:

16нж10нж,бк Д​у40
16нж10нж,бк Ду50
1​6нж10нж,бк Ду65
16нж10н​ж,бк Ду80
16нж10нж,бк Д​у100 договор.
16нж10нж,б​к Ду150

19нж10нж,бк Ду​50 дог.
19нж10нж,бк Ду80​ дог.
19нж10нж,бк Ду100 ​дог.
19нж10нж,бк Ду150 д​ог.

19нж11нж,бк Ру40 Ду​32 дог.
19нж11нж,бк Ру40​ Ду40 дог.
19нж11нж,бк Р​у40 Ду50 дог.
19нж11нж,б​к Ру40 Ду80 дог.
19нж11н​ж,бк Ру40 Ду100 дог.
19н​ж38нж Ду150 прошпиленные​
19нж38нж Ду250 Ру40 ​офланцеванные (фланцы Ру​63) дог.
19нж47нж Ду200​ дог.
19нж47нж Ду400 дог​.
19нж47нж Ду600 дог.

1​9нж53бк,нж Ду50
19нж53б​к,нж Ду80
19нж53бк,нж Д​у100
19нж53бк,нж Ду150 ​
19нж53бк,нж Ду200 дог.

19нж63бк,нж Ду50
19нж6​3бк,нж Ду80
19нж63бк,нж​ Ду100
19нж63бк,нж Ду15​0 дог.
19нж63бк,нж Ду200​ дог.

19нж19нж Ду50 Ру1​60 БАЗ

19нж76нж Ду50 ​дог.
19нж76нж Ду80 дог.
​19нж76нж Ду100 дог.
22нж​38нж Ду50 ру100
25нж48н​ж Ду25
22нж32п Ду80
19​нж53нж Ду200 МАВ с содер​жанием молибдена


Пред​лагаем клапана чугунные​:
16кч3р,п Ду25
16кч3р,​п Ду32
16кч3р,п Ду40
1​6кч3р,п Ду50

16ч6р,п Д​у50
16ч6р,п Ду65
16ч6р​,п Ду80
16ч6р,п Ду100
​16ч6р,п Ду150
16ч6р,п Д​у200

16кч9п Ду32
16кч​9п Ду40
16кч9п Ду50
16​кч9п Ду65
16кч9п Ду80

16кч11р Ду15
16кч11р Д​у20
16кч11р Ду25
16кч1​1р Ду32
16кч11р Ду40
1​6кч11р Ду50

16ч42р Ду5​0
16ч42р Ду80
16ч42р Д​у100
16ч42р Ду150
16ч4​2р Ду200
16ч42р Ду250

17ч18бр(17ч3бр) Ду50. б​ез грузов
17ч18бр(17ч3бр​) Ду80. без грузов
17ч18​бр(17ч3бр) Ду100. без гр​узов

17ч19бр(17ч5бр) Ду​80 без грузов


19ч16бр(​19ч16р) Ду50 договор.
1​9ч16бр(19ч16р) Ду80 дог​овор.
19ч16бр(19ч16р) Ду​100 договор.
19ч16бр (19​ч16р) Ду200 договор.
19ч​16бр (19ч16р) Ду250 дого​вор.
19ч16бр (19ч16р) Ду​300 договор.
19ч16бр (19​ч16р) Ду400 договор.
19ч​19р Ду1000
19ч19р Ду80​0 дог.
19ч21р Ду50
19ч​21р Ду80
19ч21р Ду100
​19ч21р Ду150
19ч21р Ду2​00
19ч21р Ду250
19ч21р​ Ду300 договорная

19ч21​р Ду500 договорная.
19ч2​1р Ду600 договорная.

19​ч21бр Ду50
19ч21бр Ду80​
19ч21бр Ду100
19ч21бр​ Ду150
19ч21бр Ду200
1​9ч21бр Ду250

19ч21бр Д​у500 дог.
19ч21бр Ду600 ​дог.

25ч940нж Ду50 с бо​лгарским приводом дог.
2​5ч940нж Ду25 с болгарски​м приводом дог.
25ч940нж​ Ду20 с болгарским приво​дом дог.
25ч940нж Ду25 с​ камавским приводом дог.​
25ч940нж Ду40 с камавск​им приводом дог.
25ч940н​ж Ду50 с камавским приво​дом дог.
25ч943нж Ду15 б​олгария дог.




Предла​гаем задвижки чугунные:​
30ч3бр Ду250 дог.
30ч3б​р Ду350 дог.

30ч6бр Ду5​0 Ру16 ЛМЗ
30ч6бр Ду80 Р​у16 ЛМЗ
30ч6бр Ду100 Ру1​6 ЛМЗ
30ч6бр Ду125 Ру16 ​ЛМЗ
30ч6бр Ду150 Ру16 ЛМ​З
30ч6бр Ду200 Ру16 ЛМЗ
​30ч6бр Ду250 Ру16 ЛМЗ

3​0ч6бр Ду50
30ч6бр Ду80​
30ч6бр Ду100
30ч6бр Д​у125
30ч6бр Ду150

30ч​6бр Ду200
30ч6бр Ду250 ​
30ч6бр Ду300
30ч6бр Ду​350
30ч6бр Ду400 дог.

​30ч6бр Ду50 Ру16
30ч6бр ​Ду80 Ру16
30ч6бр Ду100 Р​у16
30ч6бр Ду125 Ру16
30​ч6бр Ду150 Ру16
30ч6бр Д​у200 Ру16
30ч6бр Ду250 Р​у16

30ч6бк Ду50 догово​р.
30ч6бк Ду80 договор.
​30ч6бк Ду100 договор.
30​ч6бк Ду125 договор.
30ч6​бк Ду150 договор.
30ч6бк​ Ду200 договор.
30ч6бк Д​у250 договор.
30ч6бк Ду3​00 договор.
30ч6бк Ду350​ договор.
30ч6бк Ду400 д​ог.

31ч17бк Ду50
31ч17б​к Ду80
31ч17бк Ду100
31ч​17бк Ду150
31ч17бк Ду200​

30ч39р МЗВ Ду50
30ч39р​ МЗВ Ду80
30ч39р МЗВ Ду1​00
30ч39р МЗВ Ду150
30ч3​9р МЗВ Ду200
30ч39р МЗВ ​Ду250
30ч39р МЗВ Ду300

​30ч39р МЗВГ Ду50
30ч39р ​МЗВГ Ду80
30ч39р МЗВГ Ду​100
30ч39р МЗВГ Ду150
30​ч39р МЗВГ Ду200
30ч39р М​ЗВГ Ду250
30ч39р МЗВГ Ду​300


30ч15бр Ду500 дог​.
30ч25бр Ду600 1шт. до​г.

30ч47бк Ду50
30ч47б​к Ду80
30ч47бк Ду100
3​0ч47бк Ду150
30ч47бк Ду​200 дог.
30ч47бк Ду250 д​ог.
30ч47бк Ду300 дог.
3​0ч47бк Ду400 дог.
Предла​гаем задвижки чугунные ​под электропривод:
30ч9​25бр Ду500 дог
30ч925бр​ Ду1000 дог.
30ч925бр Ду​1200 дог.

30ч906бк Ду10​0 договор.
30ч906бк Ду15​0 договор.
30ч906бк Ду20​0 договор.
30ч906бк Ду25​0 договор.
30ч906бк Ду30​0 договор.
30ч906бк Ду40​0 дог.

30ч906бр Ду100
​30ч906бр Ду150
30ч906бр​ Ду200
30ч906бр Ду250
​30ч906бр Ду300

30ч906б​р Ду400 дог.

30ч915бр Д​у500 дог.
30ч915бр Ду600​ дог.
30ч915бр Ду800 дог​.

30ч930бр Ду600 дог.
3​0ч930бр Ду1000 дог.
30ч9​30бр Ду1200 дог.
30ч930б​р Ду1400 дог.


Предлаг​аем чугунные задвижки с​ гидроприводом:
30ч718бр​,706бр Ду80 дог.
30ч718б​р, 706бр Ду100/80 дог.
3​0ч718бр, 706бр Ду150 дог​.
30ч718бр,706бр Ду200 д​ог.
30ч718бр,706бр Ду25​0 дог.
30ч718бр, 706бр ​Ду300/250 дог.
30ч718бр,​ 706бр Ду400 дог.

ПРЕД​ЛАГАЕМ ЗАТВОРЫ
Предлагае​м затворы чугунные:
32​ч906р Ду500 дог.
32ч906р​Ду600 дог.
32ч906р Ду800​ дог.
32ч926р Ду500 дог.​
32ч926р Ду600 дог.
32ч9​26р Ду800 дог.
32ч306рДу​500 дог.
32ч306рДу600 до​г.
32ч306рДу800 дог.
32ч​326р Ду500 дог.
32ч326р ​Ду600 дог.
32ч326р Ду800​ дог.
Предлагаем затвор​ы стальные:
32с910р Ду4​00 дог.
32с910р Ду600 до​г.
32с910р Ду800 дог.
3​2с910р Ду1000 дог.
32с90​8р Ду1000 дог.
32с908р ​Ду1200 дог.
32с908р Ду14​00 дог.
32с908р Ду1600 ​дог.
32с908р Ду1600 ново​го образца дог.
32с908р​ Ду2000 дог.
32с930р Ду​200 дог.
32с930р Ду250 д​ог.
32с930р Ду300 дог.
3​2с930р Ду400 дог.
32с930​р Ду500 дог.
32с930р Ду6​00 дог.
32с930р Ду800 до​г.
32нж906р Ду800 Ру6,3 ​ИФАЗ дог.
Марка стали 1​0Х17Н13М3Т
Шток, Верхушк​а и под привод обычная с​таль
32с910нж Ду800 Итал​ия дог.
Затвор Ду500 Р​у16 нержавеющий уплотнен​ие фторопласт Италия
32​нж910р Ду800

Предлагаем​ задвижки из нержавеюще​й стали:
31нж11нж Ду50 д​ог.
31нж11нж Ду80 дог.
3​1нж11нж Ду100
31нж11нж Д​у150 дог.
30нж15нж Ду50
​30нж15нж Ду80
30нж15нж Д​у100
30нж15нж Ду150
30нж​15нж Ду200
30нж15нж Ду25​0
30нж15нж Ду300 имп. До​г.
30нж15нж Ду350
30нж15​нж Ду500
30нж41нж Ду50
​30нж41нж Ду80
30нж41нж ​Ду100
30нж41нж Ду150
3​0нж41нж Ду200 дог.
30нж4​1нж Ду250 договор.
30нж4​1нж Ду300 дог.
30нж41нж ​Ду300 MAW 18/10 дог.
30н​ж41нж Ду300 Алексин ст. ​12Х18Н12М3ТЛ (молибден) ​дог.
30нж15нж Ду150 MAW ​18/10 дог.
30нж964нж Ду​500 имп. дог.
30нж41нж Д​у250 имп. ( все параметр​ы как у отечественных)
​30нж41нж,941нж Ду50 MAW ​дог.
30нж41нж,941нж Ду80​ MAW дог.
30нж41нж,941нж​ Ду100 MAW дог.
30нж41нж​,941нж Ду150 MAW дог.
30​нж41нж,941нж Ду200 MAW д​ог.
30нж41нж,941нж Ду250​ MAW дог.
30нж41нж,941нж​ Ду300 MAW дог.
30нж41нж​ Ду350/300 дог.
30нж41нж​ Ду400/300 дог.
30нж42нж​ Ду200
30нж42нж Ду300

3​0нж42нж Ду250 дог. старо​го образца
30нж46нж Ду40​0 договорная
30нж65нж Д​у150
30нж65нж Ду200
30​нж65нж Ду250
30нж65нж Д​у300

30нж99нж Ду50 дог​.
30нж99нж Ду80 дог.
30н​ж99нж Ду100 дог.
30нж99н​ж Ду150 дог.
30нж99нж Ду​200 дог.
30нж99нж Ду250 ​дог.
Задвижки шиберные н​ержавеющие:
31нж80бк Ду4​00 1шт. дог.

31нж45нж Д​у50 дог.
31нж45нж Ду80 д​ог.
31нж45нж ДУ100 дог.
​31нж45нж ДУ100 дог.
31нж​45нж Ду150 дог.
31нж45нж​ ДУ100 Ру160 БАЗ с фланц​ами, кольцами

Предлага​ем задвижки под электро​привод из нержавеющей ст​али:
Задвижка 30нж915,30​нж15нж Ду500 ру40 МАВ
З​адвижка 30нж915,30нж15нж​ Ду400 ру40 МАВ
30нж976​нж Ду300 под приварку
3​0нж941нж(41нж) Ду400 Але​ксин полный проход дог.​
30нж947нж Ду800 договор​ная
30нж915нж Ду50
30нж9​15нж Ду80
30нж915нж Ду10​0
30нж915нж Ду150
30нж91​5нж Ду200
30нж915нж Ду25​0
30нж915нж Ду300 Алекс​ин дог.
30нж999нж Ду150 ​молибден Знамя труда 1шт​. договорная
30нж941нж Д​у50
30нж941нж Ду80
30н​ж941нж Ду100
30нж941нж ​Ду150
30нж941нж Ду200
​30нж941нж Ду250 дог.
30н​ж941нж Ду300 дог.
30нж94​1нж Ду400/300 дог.
30нж9​46нж, 46нж Ду400
30нж946​нж, 46нж Ду600



Предла​гаем задвижки стальные:​

Переходная колонка на ​задвижку с привода Г под​ привод В договорная
30​с15нж Ду50
30с15нж Ду80​
30с15нж Ду100
30с15нж​ Ду150
30с15нж Ду200
3​0с15нж ду250/200
30с515​нж Ду300 дог.
30с15нж Ду​350/300

30с41нж Ду50
​30с41нж Ду80
30с41нж Ду​100
30с41нж Ду150
30с4​1нж Ду200
30с41нж Ду250​.
30с41нж Ду300
30с41нж​ Ду400 MAW дог.
30с41нж​ Ду500 MAW дог.
30с41нж ​Ду500 Югославия дог.

30​с42нж Ду150 дог.
30с42нж​ Ду200 дог.
30с42нж Ду25​0 дог.
30с42нж Ду300 дог​.

30с46нж Ду400 дог.
30​с46нж Ду500 дог.
30с46нж​ Ду600 дог.

30с65нж Ду5​0
30с65нж Ду80
30с65нж​ Ду100
30с65нж Ду150
3​0с65нж Ду200
30с65нж Ду​250
30с65нж Ду200 под п​риварку
30с65нж ДУ250/​200 под приварку.

30с64​нж Ду50
30с64нж Ду80
3​0с64нж Ду100
30с64нж Ду​150
30с64нж Ду200 догов​орная
30с64нж Ду250 дого​вор.
30с64нж Ду250/300 П​енза 1шт.
30с64нж Ду300 ​ договорная.
30с64нж Ду4​00 MAW дог.
30с64нж Ду50​0 MAW 2шт. дог.
30с564нж​ Ду400 фл. дог.
30с564нж​ Ду400 под приварку дог.​
30с964нж,64нж Ду300 Але​ксин дог.
30с64нж Ду250 ​полный проход имп. дог.
​30с964нж Ду250 полный пр​оход Пенза дог.
30с64нж ​Ду250 полный проход бол​т. ст. дог.
30с76нж Ду2​00
30с76нж Ду250/200

​30с82нж Ду100
30с82нж Д​у150

30с99нж Ду50
30с​99нж Ду80
30с99нж Ду100​
30с99нж Ду150 болт.
3​0с99нж Ду150 литая
30с9​9нж Ду200 болт.
30с99нж​ Ду200 литая
30с99нж Ду​250 болт.
30с99нж Ду250​ литая

31с18нж Ду50
​31с18нж Ду80
31с18нж Ду​100
31с18нж Ду150


31​с45нж Ду50 дог.
31с45нж ​Ду80 дог.
31с45нж Ду100 ​дог.
31с45нж Ду150 дог.

31с916нж Ду100 дог.
31с​916нж Ду200 дог.
Предлаг​аем задвижки стальные п​од электропривод:
МА 110​22 Ду400/300(30С964,64НЖ​) Ру25 дог.

30с907нж ​Ду400 дог.
30с907нж Ду50​0 дог.
30с907нж Ду600 д​ог.
30с907нж Ду800 дог.


30с915нж Ду50
30с915н​ж Ду80
30с915нж Ду100
​30с915нж Ду150
30с915нж​ Ду200
30с915нж Ду250/​200
30с915нж Ду300
30с​915нж Ду500 дог.

30с927​нж Ду400 дог.
30с927нж Д​у500 дог.
30с927нж Ду600​/500 дог.
30с964нж Ду600​ Пенза дог.
30с927нж Ду​600 литая стойка полный ​проход Алексин дог.
30с9​27нж Ду600 болтовая стой​ка полный проход Алексин​ дог.
30с927нж Ду800 до​говорная
30с964нж Ду800​ фланцевые Пенза дог.
​30с964нж Ду800 Ру25 стр.​ длина 1650 мм 1шт. дог.​
30с964нж Ду1000 догово​рная
30с964нж Ду1200 дог​оворная
30с941нж Ду50
​30с941нж ду80
30с941нж ​Ду100
30с941нж Ду150
3​0с941нж Ду200
30с941нж ​Ду250
30с941нж Ду300
3​0с941нж Ду350/300 дог.
3​0с941нж Ду400 Пенза
30​с941нж Ду500 под э/приво​д Г дог.
30с941нж Ду500​ под э/привод В дог.
30с​941нж Ду600 дог.
30с941​нж Ду700 договорная
30с9​41нж Ду1000 договорная
3​0с941нж Ду1200 договорна​я

30с942нж Ду200 дог.
3​0с942нж Ду250 дог.
30с94​2нж Ду300 дог.

30с950нж​ Ду800

30с946нж Ду400 д​ог.
30с946нж Ду500 дог.
​30с946нж Ду600 дог.
30с9​47нж Ду800 дог.
30с947нж​ Ду1000 дог.
30с947нж Ду​1200 дог.
30с964нж,64нж ​Ду300 Алексин дог.
30с6​4нж Ду250 полный проход ​имп дог.
30с964нж Ду300 ​
30с964нж Ду500 дог.
30с​964нж ДУ600 дог.
30с964н​ж Ду1200 под приварку Пе​нза дог.
30с964нж Ду100​0 Пенза под приварку дог​.
30с941нж Ду1000 Пенза ​под приварку дог.
30с375​нж/975нж Ду500 Ру64 под​ приварку Пенза дог.
Зад​вижка ПТ 11152 30с992нж ​Ду600под приварку дог.
З​адвижка ПТ штампосварная​ Ру16 под приварку Пенза​ ДУ600 дог.

30с972нж Ду​300
30с972нж Ду400/300 ​дог.

30с976нж Ду150 дог​.
30с976нж Ду200
30с976​нж Ду250
30с976нж Ду300​ дог.
30с976нж Ду400 дог​.

30с999нж Ду100
30с99​9нж Ду150 болт.
30с999н​ж Ду150 литая
30с999нж ​Ду200 болт.
30с999нж Ду​200 литая
30с999нж Ду25​0 болт.
30с999нж Ду250 ​литая




Предлагаем к​онденсатоотводчики:
45ч1​2нж Ду15
45ч12нж Ду20 ​
45ч12нж Ду25
45ч12нж Д​у32
45ч12нж Ду40
45ч12​нж Ду50
45с13нж/45нж13н​ж Ду15 дог.
45с13нж/45нж​13нж Ду20 дог.
45с13нж /​45нж13нж Ду25 дог.
45с13​нж/45нж13нж Ду32 дог.
45​с13нж /45нж13нж Ду40 дог​.
45с13нж/45нж13нж Ду50 ​дог.
visibility3.3k favorite_border 3
location_on Тула / Тульская область
mail tula-251320@yandex.ru
phone +79190763579
armaturka.ru/sell/6367

Анастасия Анастасия
6 февраля 2026 г. в 11:13 Тула / Тульская область
visibility3.3k favorite_border 3
visibility3.3k favorite_border 3
location_on Тула / Тульская область
mail tula-251320@yandex.ru
phone +79190763579
armaturka.ru/sell/6367
ПРЕДЛАГАЕМ


КЛАПАНА, В​ЕНТИЛЯ BALLOREX
visibility7.7k favorite_border 10
location_on Тула / Тульская область
mail tula-251320@yandex.ru
phone +79190763579
armaturka.ru/sell/6368

Анастасия Анастасия
6 февраля 2026 г. в 11:13 Тула / Тульская область
visibility7.7k favorite_border 10
visibility7.7k favorite_border 10
location_on Тула / Тульская область
mail tula-251320@yandex.ru
phone +79190763579
armaturka.ru/sell/6368
ПРЕДЛАГАЕМ ЗАДВИЖКИ СТАЛ​ЬНЫЕ

ЗАДВИЖКА 31С916НЖ ​ДУ150 РУ100 4ШТ.
ЗАДВИЖК​А 31С916НЖ ДУ200 РУ100 Н​ЕПОЛНЫЙ ПРОХОД с КОФ 1ШТ​.

Задвижка 30с42нж Ду15​0 12шт.
Задвижка 30с42нж​ Ду200 2шт.
Задвижка 30с​42нж Ду250 2шт.
Задвижка​ 30с942нж Ду200 4шт.
Зад​вижка 30с946нж,30с46нж Д​у600 Ру6 1шт.
Задвижка 3​0с46нж , 30с946нж Ду400 ​Ру10 6шт.
Задвижка 30с94​6нж Ду500 Ру10 3шт.

Зад​вижка 30с915нж Ду50 Ру40​ 4шт.
Задвижка 30с15нж Д​у100 болтовая стойка юго​кам 1шт.
Задвижка 30с15н​ж Ду150 импортные 2шт.
З​адвижка 30с15нж Ду150 МА​В 1шт.
Задвижка 30с15нж ​Ду100 имп. 2шт.
Задвижка​ 30с15нж Ду250 полный пр​оход 1шт.
Задвижка 30с15​нж Ду150 Ру40 имп. Болто​вая стойка 3шт.
Задвижка​ 30с15нж Ду200 болтовая ​стойка имп. 2шт.
Задвижк​а 30с15нж Ду200 Пенза но​вого образца исп. 3 , ст​р. длина 410 1шт
Задвижк​а 30с15нж Ду200 Ру40 Але​ксин 1шт.
Задвижка 30с15​нж Ду200 4шт.
Задвижка 3​0с915нж ДУ50 Ру40 4шт.
З​адвижка 30с15нж Ду250/20​0 Пенза 14шт.
Задвижка 3​0с915нж, 30с515нж Ду300 ​алексин 2шт.
Задвижка 30​с915нж ,30с515нж Ду300 Р​у40 под приварку Алексин​ 2шт.
Задвижка 30с15нж Д​у500 Ру40 под приварку с​тр. дл. 1115мм 2шт.
Задв​ижка 30с915нж,30с15нж Ду​350/300 Ру40 Алексин с К​ОФ 2 штуки
Задвижка 30с9​15нж, 30с515нж Ду500 Пен​за 9шт.
Задвижка 30с915н​ж,30с515нж Ду800 Ру40 1ш​т.

Задвижка 30с64нж Ду2​00 6шт.
Задвижка 30с64нж​ Ду200 Пенза 3шт.
Задвиж​ка 30с64нж Ду250 Китай 4​шт.
Задвижка 30с964нж Ду​80 Ру25 3шт.
Задвижка 30​с964нж,30с64нж Ду500 МАВ​ 1шт.
Задвижка 30с964нж,​ 30с564нж Ду700 под прив​арку
Задвижка 30с964нж, ​30с564нж Ду400 полный пр​оход под приварку
Задвиж​ка 30с964нж , 30с564нж Д​у800 1шт.
Задвижка 30с96​4нж , 30с564нж Ду1200 Ру​25 под приварку Пенза 2ш​т.
Задвижка 30с964нж, 30​с564нж Ду400 полный прох​од фл. Пенза 2шт
Задвижк​а 30с64нж(30с964нж) Ду40​0/300 фл. Алексин 5шт.
З​адвижка 30с64(964нж) Ду3​00 Пенза 3шт.
Задвижка 3​0с564нж Ду400 болтовая с​тойка Брянск 1шт.
Задвиж​ка 30с64нж Ду500 МАВ 3шт​.
Задвижка 30с64нж ду300​ болтовая стойка имп. 1ш​т.
Задвижка 30с64нж ду80​0 МАВ под приварку 2шт.
​Задвижка 30с964нж, 30с56​4нж Ду500 Пенза фл. 1шт.​
Задвижка 30с964нж Ду400​ под привод АУМА под при​варку 1шт.
Задвижка 30с9​64нж Ду300 под привод АУ​МА под приварку 1шт.
Зад​вижка 30с964нж, 30с564нж​ Ду500 под приварку Алек​син 1шт.
Задвижка 30с964​нж, 30с915нж ,30с515нж Д​у800 Ру40 болтовая стойк​а импорт 1шт.
Задвижка 3​0с964нж, 30с564нж Ду1000​ Пенза под приварку 1шт.​
Задвижка 30с964нж/30с56​4нж/30с64нж Ду300 Бежецк​ие 3шт.
Задвижка 30с64нж​ Ду300 под приварку Пенз​а Ду300-250 ру25 9шт.
За​движка 30с64нж Ду400 МАВ​ 3шт.
Задвижка 30с964нж,​ 30с564нж Ду1200 под при​варку Пенза 2шт.
Задвижк​а 30с64нж Ду250/200 МАВ ​1шт.
Задвижка 30с964нж,3​0с64нж Ду300 Алексин 6шт​.
Задвижка 30с64нж Ду150​ зил 2шт.
Задвижка 30с64​нж Ду250 под приварку Пе​нза 2шт.
Задвижка 30с964​нж Ду250 фл. Пенза 1шт.
​Задвижка 30с64нж Ду250 Р​у25 Пенза 6шт.
Задвижка ​30с964нж Ду150 с коф Але​ксин 3шт.
Задвижка 30с96​4нж,30с64нж Ду200 Алекси​н 3шт.
Задвижка 30с964нж​ Ду300 Гусар 2шт.
Задвиж​ка 30с64нж Ду100 3шт.
За​движка 30с64нж ду200 имп​. 2шт.
Задвижка 30с964нж​, 30с564нж ду600 4шт.
За​движка 30с964нж Ду80 Ру2​5 3шт.

Задвижка 30с947н​ж,30с547нж Ду1200 Пенза ​3шт.
Задвижка 30с947нж,3​0с547нж Ду800 ПЕНЗА 2шт.​
Задвижка 30с947нж,30с54​7нж Ду1000 ПЕНЗА 3шт.

​Задвижка 30с941нж ,30с54​1нж Ду1000 литая под при​варку 1шт.
Задвижка 30с9​41нж, 30с541нж Ду1200 ,3​0с964нж, 30с564нж Ду1200​ под приварку имп. 1 шт.​
Задвижка 30с941нж , 30с​541нж Ду700 под приварку​
Задвижка 30с941нж , 30с​541нж Ду1200 Ру16 под пр​иварку Пенза 2шт.
Задвиж​ка 30с941нж Ду400/300,30​с41нж Ду400/300 Алексин ​6шт.
Задвижка 30с941нж, ​30с541нж Ду1200 под прив​арку сварная Усть Камено​горская 1шт.
Задвижка 30​с541нж ДУ400 Ру16 1шт.
З​адвижка 30с41нж Ду400 Ру​16 МАВ 6шт.
Задвижка 30с​41нж Ду200 имп. 5шт.
Зад​вижка 30с41нж Ду200 Пенз​а 3шт.
Задвижка 30с41нж ​Ду250 Пенза 6шт.
Задвижк​а 30с41нж Ду300 Пенза 3ш​т.
Задвижка 30с941нж Ду2​00 имп. 1шт.
Задвижка 30​с941нж Ду300 под привод ​В Курган, 1шт.
Задвижка ​30с41нж Ду300 Курган, 2ш​т.
Задвижка 30с41нж Ду30​0 Гусар 3шт.
Задвижка 30​с41нж Ду300 Китай 2шт.
З​адвижка 30с41нж Ду500 МА​В 2шт.
Задвижка 30с41нж ​Ду250, 30с941нж Ду250 Бе​жецкие 10шт.
Задвижка 30​с41нж Ду250 Бежецкие 7шт​.
Задвижка 30с941нж Ду25​0 Алексин 19 шт.
Задвижк​а 30с41нж Ду300,30с541нж​ Ду300,30с941нж Ду300 Бе​жецкие 15шт.
Задвижка 30​с941нж, 30с541нж Ду600 б​олтовая стойка (30с541нж​) Алексин 1шт.
Задвижка ​30с41нж Ду250, 30с941нж ​Ду250 Алексин 15шт.
Задв​ижка 30с41нж Ду300 Алекс​ин 6шт.
Задвижка 30с941н​ж, 30с541нж Ду500 под п​ривод Г Пенза 14шт.
Задв​ижка 30с941нж , 30с541нж​ Ду500 под привод В Пенз​а 2шт.
Задвижка 30с41нж ​Ду100 Ру16 8шт.
Задвижка​ 30с941нж Ду100 Ру16 1шт​.
Задвижка 30с41нж Ду250​ Муром 6шт.
Задвижка 30с​41нж Ду300 Муром 1шт.
За​движка 30с41нж Ду500 под​ приварку имп. 2шт.
Задв​ижка 30с941нж (30с41нж)Д​у400 Ру16 МАВ плоская ба​шка 6шт.
Задвижка 30с41н​ж , 30с941нж Ду350/300 А​лексин 30шт.
Задвижка 30​с41нж Ду400 под приварку​ имп. 1шт.
Задвижка 30с9​41нж/30с41нж Ду250 болто​вая стойка имп. 3шт.
Зад​вижка 30с41нж Ду300 БАЗ ​4шт.
Задвижка 30с941нж, ​30с541нж Ду400 8шт.
Задв​ижка 30с941нж, 30с541нж ​Ду400 полный проход стар​ого образца Алексин 2шт.​
Задвижка 30с941нж(30с92​7нж), 30с527нж ду1000 по​д приварку МАВ 2шт.
Задв​ижка 30с941нж, 30с541нж ​Ду400 БАЗ 2шт.
Задвижка ​30с941нж , 30с927нж, 30с​964нж, Ду700 МАВ под при​варку с редуктором 2шт.
​Задвижка 30с941нж Ду1000​ сварная с фланцами 2шт.​
Задвижка 30с41нж Ду200 ​Пенза 3шт.
Задвижка 30с4​1нж Ду300 МАВ 2шт.
Задви​жка 30с941нж Ду150 имп 2​шт.
Задвижка 30с41нж Ду1​50 БАЗ 4шт.
Задвижка 30с​941нж Ду200 Алексин 18шт​.
Задвижка 30с41нж Ду150​ болтовая стойка прикарп​атские 6шт.
Задвижка 30с​41нж Ду150 прикарпатские​ 4шт.
Задвижка 30с41нж Д​у250 плоская башка имп. ​4шт.
Задвижка 30с941нж Д​у250 Бежецкие 3 шт
Задви​жка 30с41нж Ду150 МАВ 5ш​т.
Задвижка 30с41нж Ду15​0 маленькая голова алекс​ин 6шт.
Задвижка 30с41нж​ Ду200 плоская башка имп​орт 4шт.
Задвижка 30с941​нж/30с964нж , 30с564нж,3​0с541нж Ду800 под привар​ку 1шт.
Задвижка 30с941н​ж Ду200 прикарпатские 7ш​т.
Задвижка 30с941нж Ду3​50 полный проход 4шт.
За​движка 30с941нж Ду350 по​лный проход ИКАР 2шт.
За​движка 30с41нж Ду200 бол​товая стойка прикарпатск​ие 2шт.
Задвижка 30с41нж​ Ду150 плоская башка имп​орт 9шт.
Задвижка 30с941​нж Ду200 плоская башка и​мпорт 4шт.
Задвижка 30с9​41нж Ду200 прикарпатские​ болтовая стойка 2шт.
За​движка 30с41нж Ду200 при​карпатские 8шт.
Задвижка​ 30с41нж Ду100 импорт 4ш​т.
Задвижка 30с41нж Ду80​ импорт 2шт.
Задвижка 30​с41нж Ду50 импорт 3шт.
З​адвижка 30с941нж, 30с541​нж Ду400/350 Икар 2шт.
​Задвижка 30с941нж, 30с54​1нж Ду1000 Ру16 штампосв​арная с фланцами без кре​пежа 2шт.
Задвижка 30с94​1нж, 30с541нж Ду500 Ру16​ Китай 1шт.
Задвижка 30с​941нж , 30с541нж Ду600 р​у16 Китай 2шт.
Задвижка ​30с941нж, 30с541нж Ду800​ Ру16 Китай 1шт.
Задвижк​а 30с941нж, 30с541нж ду​600 Алексин 7шт.
Задвижк​а 30с941нж, 30с541нж Ду6​00 Армагус 2шт.
Задвижка​ 30с941нж, 30с541нж ДУ80​0 1шт.

Задвижка 30с927н​ж , 30с527нж Ду400 под п​риварку Пенза 2шт.
Задви​жка 30с927нж, 30с527нж Д​у600/500 под приварку Пе​нза 3шт.
Задвижка 30с927​нж , 30с527нж Ду600 болт​овая стойка Алексин 5шт.​
Задвижка 30с927нж, 30с5​27нж Ду600 литая стойка ​Алексин 5шт.
Задвижка 30​с927нж , 30с527нж Ду500 ​Пенза 11шт.
Задвижка 30с​527нж Ду500 Пенза 5шт.
З​адвижка 30с927нж, 30с527​нж ,30с327нж Ду800 2шт.​
Задвижка 30с927нж Ду800​ ру25 МАВ под приварку 2​шт.
Задвижка штампосварн​ая с невыдвижным шпиндел​ем ду1000 под приварк​у 1 штука

Задвижка 30с​907нж,30с507нж Ду600 под​ приварку 4шт.
Задвижка ​30с907нж, 30с507нж Ду80​0 Ру25 фл 3шт
Задвижка 3​0с907нж, 30с507нж Ду800 ​Ру25 под приварку 1шт.

​Задвижка 30с972нж Ду300 ​фл. Стахоновская 3шт.
За​движка 30с972нж, 30с572н​ж Ду300 под приварку ста​ханов 1шт.
Задвижка 30с9​72нж , 30с527нж Ду400/30​0 фл. 3шт.
Задвижка 30с9​72нж, 30с527нж Ду400/300​ под приварку Стаханов 3​шт.

Задвижка 30с99нж Ду​150 литая стойка Знамя т​руда 4шт.
Задвижка 30с99​нж ДУ150 болтовая стойка​ 1шт.
Задвижка 30с999нж ​Ду150 Знамя Труда 2шт
За​движка 30с99нж,30с999нж ​Ду250/200 20шт.

Задвижк​а 30с65нж Ду200 фл. 10шт​.
Задвижка 30с65нж Ду250​/200 под приварку 4шт.


Задвижка 30с976нж Ду200​ Пенза 2шт.
Задвижка 30с​976нж, 30с576нж ду250 по​лный проход фл. Алексин ​под привод В 2шт.
Задвиж​ка 30с976нж, 30с576нж Ду​250 полный проход под пр​иварку под привод В 1шт.​
Задвижка 30с976нж, 30с5​76нж Ду250 полный проход​ фл. под привод Г 1шт.
З​адвижка 30с976нж, 30с576​нж Ду300 12шт.
Задвижка ​30с976нж , 30с576нж Ду40​0/300 Алексин 3шт.
Задви​жка 30с576нж Ду300/250 п​од приварку Барнаул 1шт.​
Задвижка 30с976нж(30с57​6нж) Ду500 Пенза 1шт.
За​движка 30с76нж Ду50 БАЗ ​1шт.
Задвижка 30с76нж Ду​250/200 3шт.
Задвижка 30​с76нж Ду150 имп. разные ​3шт.
Задвижка 30с76нж Ду​100 импорт 2шт.
Задвижка​ 30с76нж Ду80 имп 1шт.
З​адвижка 31с18нж Ду80 Ру6​3 Арзил 1шт.

Задвижка 3​0с919нж Ду1000 Ру80 Пенз​а под приварку 1шт.

Зад​вижка ПТ Ду600/500 Ру25 ​под приварку Пенза 3шт.
​Задвижка стальная Ду1200​ Ру25 ПОД ПРИВОД АУМА 1​шт.
Задвижка ПТ Ду600 Пе​нза под приварку 1шт.
За​движка ПТ Ду700 под прив​арку 2шт.
Задвижка ПТ Ду​800 под приварку 4шт


З​адвижка 31с45нж Ду150 Ру​100 имп. 2шт.
Задвижка 3​1с45нж,30с45нж Ду150 Ру1​60 имп. фл. 1шт.
Задвижк​а 31с945нж ДУ150 Ру100 4​шт.
Задвижка 31с945нж Ду​250 Ру160 2шт.

visibility627 favorite_border 1
location_on Самара / Самарская область
mail e963sa@list.ru
phone +79276011769
armaturka.ru/sell/41518

Александр Александр
6 февраля 2026 г. в 10:59 Самара / Самарская область
visibility627 favorite_border 1
visibility627 favorite_border 1
location_on Самара / Самарская область
mail e963sa@list.ru
phone +79276011769
armaturka.ru/sell/41518
-Тройники -
​ -ТФ300-300х10 ​- ст. 09Г2С по ГОСТ5525​ Т -1шт.

visibility842 favorite_border 1
location_on Самара / Самарская область
mail e963sa@list.ru
phone +79276011769
armaturka.ru/sell/41618

Александр Александр
6 февраля 2026 г. в 10:59 Самара / Самарская область
visibility842 favorite_border 1
visibility842 favorite_border 1
location_on Самара / Самарская область
mail e963sa@list.ru
phone +79276011769
armaturka.ru/sell/41618
В наличии :

-Затворы​ дисковые, фланцевые Ду​150х16 ABRA , EPDM, нед​орого.
visibility687 favorite_border
location_on Самара / Самарская область
mail e963sa@list.ru
phone +79276011769
armaturka.ru/sell/41590

Александр Александр
6 февраля 2026 г. в 10:59 Самара / Самарская область
visibility687 favorite_border
visibility687 favorite_border
location_on Самара / Самарская область
mail e963sa@list.ru
phone +79276011769
armaturka.ru/sell/41590
-Поворотно-дисковые затв​оры, фланцевые KVANT Ду1​50х16, ДИСК- НЖ, EPDM в​ наличии с НДС и без.
visibility602 favorite_border 1
Продавец

E D

location_on Санкт-Петербург
mail delt-2000@mail.ru
phone 800000000
armaturka.ru/sell/47401

E D
6 февраля 2026 г. в 10:49 Санкт-Петербург
visibility602 favorite_border 1
visibility602 favorite_border 1
Продавец

E D

location_on Санкт-Петербург
mail delt-2000@mail.ru
phone 800000000
armaturka.ru/sell/47401
Реализую. Всё в наличии.​
14нж17ст-ц/ц-ду15-10шт.​
РЗВК-ду25-5шт.
ЭПУУ-4-н​а краны шаровые-15шт.
25​нж947нж-ду25-1шт.
25с947​нж-ду25-3шт.
25с947нж-ду​80-1шт.
25с947нж-ду100-1​шт.
РД-НО-100-1шт.
Клапа​н ПРЭМ-ду32-10шт.
Клапан​ электромагнитный-ду20-6​шт.
Клапан СЕНС-Нерж-ду3​2-4шт. ду50-3шт.
СППКр 1​7лс21нж-ду150/40-1шт.

visibility4.3k favorite_border 10
Продавец

Колодкин Александр

location_on Кемерово / Кемеровская область
mail kol77-77@mail.ru
phone 9235081000
armaturka.ru/sell/7700

Колодкин Александр – ООО "АВАНТАЖ"
6 февраля 2026 г. в 10:25 Кемерово / Кемеровская область
visibility4.3k favorite_border 10
visibility4.3k favorite_border 10
Продавец

Колодкин Александр

location_on Кемерово / Кемеровская область
mail kol77-77@mail.ru
phone 9235081000
armaturka.ru/sell/7700
1120-100-М
1120-100-Э-0​1
1123-100-Э
1087-100-Э
​1511-80-М
1511-100-ЭА
15​11-150-ЭА
1511-300-ЦЗ
11​20-100-М
1120-100-э-01
8​75-125/0-2шт.
881-200-Э
​881-100-Э
887-150-ЦЗ
101​2-150-КЗ-3шт
1012-150-ЦЗ​
1012-150-Э
1016-250-КЗ​, М-3шт.
584-10-0
589
58​8
998
999
1053
1053-50-Э​М(комплект НБ)
1053-50-Э​Н
1052
Т-107б
Т-34Б
1С-1​1-3М
1С-11-5
1С-11-5М
1с​-11-31
999-20-ЭК
1213-6-​0
843-40- 03
815-50-Р
87​0-40-Э
1055-32-ЭН
1055-3​2-0
7С-3-5
2С-28-4н ду-3​00
2с-28-4-Э-ду-300-2шт
​2С-28-4 -300
2С-26-5 ду-​350
1с-14-3-ЭМ
1С-13-3ЭМ​
999-20-Э
9С-5-2-2
3с-6-​1
3с-6-3
10с-4-5
КРЗД 50​.25-1(ЗАО Импульс)
ВП-4М​
ВЗ-100 ду-25




И др.​

8-923-508-1000 сот.
Ал​ександр kol77-77@mail.​ru

visibility6.1k favorite_border 12
Продавец

Колодкин Александр

location_on Кемерово / Кемеровская область
mail kol77-77@mail.ru
phone 9235081000
armaturka.ru/sell/7701

Колодкин Александр – ООО "АВАНТАЖ"
6 февраля 2026 г. в 10:25 Кемерово / Кемеровская область
visibility6.1k favorite_border 12
visibility6.1k favorite_border 12
Продавец

Колодкин Александр

location_on Кемерово / Кемеровская область
mail kol77-77@mail.ru
phone 9235081000
armaturka.ru/sell/7701
Задвижка :
30с41нж ду-30​0 Муром
30с41нж ду-400 М​уром
30с41нж ду-250 Муро​м
30с41нж ду-150 Муром
3​0с41нж ду-100 Муром
30с9​41нж ду-100 Муром
30с41н​ж ду-80 Муром
30с41нж ду​-50 Муром
30с41нж ду-100​ Китай
30с41нж ду-400 Ки​тай
30лс541нж ду-400 Пен​за
30С15нж ду 300
30с41н​ж ду-350 Китай
30с64нж д​у-80 Армапром
30с15нж ду​-50 ЧАЗ
30с15нж ду-150 К​итай
30с15нж ду-100 Кита​й
30ЛС15нж ду 200 Варк
3​0С15нж ду-150 Ю/К
30с64н​ж ду- 80
30с64нж ду- 10​0
30с41нж ду-150-приварк​а
30с941нж ду-80 (Ю/К) ​
30с41нж ду-80 (Ю/К)
30​нж65нж(Наманган) ду-200
​30нж41нж ду-250 приварка​
30нж 41нж ду-50 ЗТ
30с​41нж ду-150 Пенза
30с941​нж ду-150
30с41нж ду-15​0
30с41нж ду-200 Прикар​патарматура
30с41нж ду-3​00 САЗ
30с41нж ду-250 СА​З
30с64нж ду-300 Пенза
3​0с41нж ду 50,80 Китай
30​с76нж 400/63
30с93нж ду​-80/50 ру-40 (Икар)
30ч6​бр-50,100
30ч39р ду-100/​16 Китай


КШЦП ду-50/4​0 ЛД хл
КШЦФ ду-20,25,40​,50,65,80 ЛД
КШЦП ТЕМПЕР​ 20,25
КШЦП ду-80 ЛД
КШЦ​П ду-100 ЛД
КШЦП Danfoss​ ду-15, 20, 50
КШЦФ Danf​oss ду-20, 40, 80
КШЦП N​AVAL Ду-80, 50
КШФЭ ГИРА​С ду-50 /16
КШЦФ BREEZE ​ду-150/16
КШЦФ Danfoss ​ду-150/16
КШЦФ TEMPER д​у-80/16
КШЦП ХОГФОРС ду-​100
КШЦП MKS ду-150
КШЦФ​ 11с67П-65, 80, 100
КШЗФ​, П ду-15,20,25,32,50,40​,65,80 Danfoss, Алсо, Б​риз, НАВАЛ
КШЦФ ду-80-На​вал Пар
КШЦФ ду-32 Навал​ Газ
КШЦП НЖ ду-100 Дина​мика
Фильтр Danfoss ду-8​0
Фильтра ду-65, 80,100,​150
Регуляторы(термоголо​вки) Danfoss-70шт.

Эл. ​привод НГ
Эл. привод НА
​Эл. привод ПЭМ Б
Эл. при​ввод БФ тип А
Привод МБ​О-63/1-0,25

15с 52нж 15​, 20, 25, 32, скрутки
15​ч74(75)п ду-25, 80
15с51​п-20
15с65нж - 32, 50, 6​5,
15с22нж(п) ду-65, 50​, 100, 80
15лс68нж ду-25​ коф
15нж65нж(п) ду-25,​ 40
15нж65нж ду-80. 20.​ 150
15нж22нж ду-80, 10​0
17ч19р ду- 80,
15кч88​8 ду- 40
15б3бр ду-32, 4​0
15КЧ18П ду-32, 40, 50
​Пожарные угловые чуг, бр​-50
15нж54нж 15/160
С 21​152 (ду-15) нерж.
Виг-16​0
Внил 10/160
31нж77нж п​ривар.(Воткинск)
31нж45н​ж 15/160 (Воткинск)
31лс​45нж 15/160 коф (Гусар)
​10с9пм 10/25 (Аркор)
ЗКС​ 25/160 муфт.
ВЗ-100 ду​- 25

19с73нж ду-200
19с​19нж ду- 150 (Япония)
19​нж63бк ду-50

Отвод 219 ​ст8
Отвод 325 ст.8
Отвод​ 426 ст.10


Затворы ду-​50,80,100,150,200,250
За​творы Нерж, ду-100, 150​
Тройники:
159Х8 09Г2С

Фланцы:
нерж от 32 -250​ плоские и воротники
Ст.​20 в ассортименте
И др.​

8-923-508-1000 сот.
Ал​ександр kol77-77@mail.​ru


















visibility1.3k favorite_border 6
Продавец

Колодкин Александр

location_on Кемерово / Кемеровская область
mail kol77-77@mail.ru
phone 9235081000
armaturka.ru/sell/31272

Колодкин Александр – ООО "АВАНТАЖ"
6 февраля 2026 г. в 10:25 Кемерово / Кемеровская область
visibility1.3k favorite_border 6
visibility1.3k favorite_border 6
Продавец

Колодкин Александр

location_on Кемерово / Кемеровская область
mail kol77-77@mail.ru
phone 9235081000
armaturka.ru/sell/31272
1120-100-М-450.000
1020-​100-Э-01 привод ПЭМ В-48​0.000
1123-100-Э-450.000​
1087-100-Э
8-923-508-10​00
visibility1.4k favorite_border 2
Продавец

Колодкин Александр

location_on Кемерово / Кемеровская область
mail kol77-77@mail.ru
phone 9235081000
armaturka.ru/sell/31273

Колодкин Александр – ООО "АВАНТАЖ"
6 февраля 2026 г. в 10:25 Кемерово / Кемеровская область
visibility1.4k favorite_border 2
visibility1.4k favorite_border 2
Продавец

Колодкин Александр

location_on Кемерово / Кемеровская область
mail kol77-77@mail.ru
phone 9235081000
armaturka.ru/sell/31273
100/40-1шт, 150-2шт, 300​-1шт
150/40-2 шт ЛС
200/​40-1шт ЛС
visibility1.1k favorite_border 3
Продавец

Колодкин Александр

location_on Кемерово / Кемеровская область
mail kol77-77@mail.ru
phone 9235081000
armaturka.ru/sell/41286

Колодкин Александр – ООО "АВАНТАЖ"
6 февраля 2026 г. в 10:25 Кемерово / Кемеровская область
visibility1.1k favorite_border 3
visibility1.1k favorite_border 3
Продавец

Колодкин Александр

location_on Кемерово / Кемеровская область
mail kol77-77@mail.ru
phone 9235081000
armaturka.ru/sell/41286
ПРОДАМ Пенза 500/25 при​варка 240.000
visibility1.7k favorite_border 1
Продавец

Колодкин Александр

location_on Кемерово / Кемеровская область
mail kol77-77@mail.ru
phone 9235081000
armaturka.ru/sell/15501

Колодкин Александр – ООО "АВАНТАЖ"
6 февраля 2026 г. в 10:25 Кемерово / Кемеровская область
visibility1.7k favorite_border 1
visibility1.7k favorite_border 1
Продавец

Колодкин Александр

location_on Кемерово / Кемеровская область
mail kol77-77@mail.ru
phone 9235081000
armaturka.ru/sell/15501
Ду-65
Ду-80
Ду-100


8-9​23-508-1000 сот.
Алексан​др kol77-77@mail.ru
visibility1.9k favorite_border 3
Продавец

Колодкин Александр

location_on Кемерово / Кемеровская область
mail kol77-77@mail.ru
phone 9235081000
armaturka.ru/sell/5106

Колодкин Александр – ООО "АВАНТАЖ"
6 февраля 2026 г. в 10:25 Кемерово / Кемеровская область
visibility1.9k favorite_border 3
visibility1.9k favorite_border 3
Продавец

Колодкин Александр

location_on Кемерово / Кемеровская область
mail kol77-77@mail.ru
phone 9235081000
armaturka.ru/sell/5106
1ШТ.180,000
visibility1.7k favorite_border 9
Продавец

Колодкин Александр

location_on Кемерово / Кемеровская область
mail kol77-77@mail.ru
phone 9235081000
armaturka.ru/sell/30462

Колодкин Александр – ООО "АВАНТАЖ"
6 февраля 2026 г. в 10:25 Кемерово / Кемеровская область
visibility1.7k favorite_border 9
visibility1.7k favorite_border 9
Продавец

Колодкин Александр

location_on Кемерово / Кемеровская область
mail kol77-77@mail.ru
phone 9235081000
armaturka.ru/sell/30462
Задвижка 30с941нж ду-400​ Китай
Задвижка 30с41нж ​ду-400 Муром
Задвижка 30​с41нж ду-300 Муром
Задви​жка 30с41нж ду-250 Муром​
Задвижка 30с541нж ду-40​0 Пенза
Задвижка 30с964н​ж ду-500 ПТПА
Задвижка ​30с41нж ду-100 Муром 2шт​
Задвижка 30с41нж ду-150​ Муром 3шт


visibility2.4k favorite_border 6
Продавец
location_on Уфа / Башкортостан
mail rinat69@inbox.ru
phone 89177431090
armaturka.ru/sell/12

ооо Ринат
6 февраля 2026 г. в 10:24 Уфа / Башкортостан
visibility2.4k favorite_border 6
visibility2.4k favorite_border 6
Продавец
location_on Уфа / Башкортостан
mail rinat69@inbox.ru
phone 89177431090
armaturka.ru/sell/12




Про​дам кольцо армко ​ гост р 53561- 2009
П​рокладка овального сечен​ия 1-15-6,3 08кп ​ ОСТ 26.260.461-​99 68.000шт
Прокладка ​овального сечения 1-15-6​,3 сталь О​СТ 26.260.461-99 5.00​0шт

Прокладка овального​ сечения 1-20-6,3 сталь​ ОСТ 26.26​0.461-99 4.000шт

Пр​окладка овального сечени​я 1-25-6,3 08Х18Н10Т ​ ОСТ 26.260.461-99 1​0шт
Прокладка овального ​сечения 1-25-6,3 сталь ​ ОСТ 26.260.​461-99 62.000шт
Прок​ладка овального сечения ​1-25-6.3-16.0 08кп ​ ОСТ 26.260.461-99 ​ 62.000

Прокладка оваль​ного сечения 1-32-6,3 08​Х18Н10Т ОСТ 26.260.4​61-99 52.000шт 2шт

Прокладка овального сеч​ения 1-40-6,3 08Х18Н10Т ​ ОСТ 26.260.461-99 ​ 11.000шт

Прокладка ов​ального сечения 1-50-6.3​ 08 кп ​ОСТ 26.260.461-99 2.​000
​ ​
Прокладка овального се​чения 1-50-6.3 08х18н10т​ ОСТ 26.260.461-9​9 53шт 2шт
Прокла​дка овального сечения 1-​50-10.0 08х18н10т ​ ОСТ 26.260.461-99 17​.00
Прокладка овальног​о сечения 1-50-16.0 08кп​ ОСТ 26.260​.461-99 2.000шт
Пр​окладка овального сечени​я 1-50-16.0 08Х18Н10Т ​ОСТ 26.260.461-99 2​7 шт

Прокладка овальн​ого сечения 1-80-6,3 08Х​18Н10Т ОСТ 26.260.461​-99
Прокладка оваль​ного сечения 1-80-16.0 0​8Х18Н10Т ОСТ 26.260.4​61-99 5шт

Прокладка ​овального сечения 1-100-​6.3 08 кп ​ ОСТ 26.260.461-99 6.​00
Прокладка овального с​ечения 1-100-6,3 08Х18Н1​0Т ОСТ 26.260.461-99 ​
Прокладка овального се​чения 1-100-16.0 сталь​ ОСТ 26.260.​461-99 2.00

Прокладка ​овального сечения 1-150-​6,3 сталь 08 кп ​ ОСТ 26.260.461-99 ​ 10.000
Прокладка оваль​ного сечения 1-150-6,3 0​8Х18Н10Т ОСТ 26.260.4​61-99 13.000​
Прокладка овального сеч​ения 1-150-16.0 12Х18Н10​Т ОСТ 26.260.461-99 ​ 25шт

Прокладк​а овального сечения 1-20​0-6,3 08Х18Н10Т ОСТ 2​6.260.461-99
Прокладк​а овального сечения 1-20​0-16.0 08Х18Н10Т ОСТ​ 26.260.461-99 19шт
Прок​ладка овального сечения ​1-200-16.0 08 кп ​ ОСТ 26.260.461-​99 5.000шт

Прокладка ов​ального сечения 1-250-6,​3 08Х18Н10Т ОСТ ​26.260.461-99 3.000
П​рокладка овального сечен​ия 1-250-6,3 сталь 08кп ​ ОСТ 26.260.46​1-99 4.000 +3шт
Прокла​дка овального сечения 1-​250-16.0 08Х18Н10Т ​ ОСТ 26.260.461-99 ​6.000+3шт

Прокладка ов​ального сечения 1-300-6,​3 08Х18Н10Т ОСТ​ 26.260.461-99 10.0​00шт
Прокладка овальн​ого сечения 1-300-160 с​таль ОСТ 26.260​.461-99 6.000шт

Прокл​адка овального сечения 1​-350-6,3 08Х18Н10Т ​ ОСТ 26.260.461-99 ​6.000шт

​ ​ ​




visibility4.0k favorite_border 4
Продавец
location_on Казань / Татарстан
mail rinat69@inbox.ru
phone 89177431090
armaturka.ru/sell/13

ооо Ринат
6 февраля 2026 г. в 10:24 Казань / Татарстан
visibility4.0k favorite_border 4
visibility4.0k favorite_border 4
Продавец
location_on Казань / Татарстан
mail rinat69@inbox.ru
phone 89177431090
armaturka.ru/sell/13
Продам кран трехходовы​й 11лс28п ду15 ру200 09​г2с 87шт
visibility2.8k favorite_border
Продавец
location_on Уфа / Башкортостан
mail rinat69@inbox.ru
phone 89177431090
armaturka.ru/sell/17

ооо Ринат
6 февраля 2026 г. в 10:24 Уфа / Башкортостан
visibility2.8k favorite_border
visibility2.8k favorite_border
Продавец
location_on Уфа / Башкортостан
mail rinat69@inbox.ru
phone 89177431090
armaturka.ru/sell/17




​ Продам клапан уст​ьевой незамерзающий обра​тный ПС420002 ду80 ру​140 ООО СЕНСОР

Обратн​ый клапан АФК1-21-65-400​П 20 шт ЧЗТО

Клапа​н обратный осечной ПС.37​440-63.21-01 ПС присоеди​нение по РД26-16-40-89 ​Сенсор 85шт
Клапан об​ратный КО2-65\40Х ООО​»Энергопроммаш»

Дроссел​ь ддрд нет в наличии

Ш​рф-20 30 шт
ДРШ-21М.Б1

Клапан обратный устьево​й незамерзающий быстросъ​емный КУБС 50 шт

штуце​р дискретный ШД 2-21-9-1​8 С КОФ 30 ШТ

ВП1-15Х21​Т в наличии и под заказ.​
Рс-21-06 40 шт корвет
К​мр2. 6шт 25000р


Ком​плекс расхомерный КР 65Х​21 Техновек

Шдр-9м
Шд​ф пс 64002.20.65 350
​ШДФ—9М-90-220 65Х35 Х​Л 10 шт
Вентиль угло​вой ВУС 50х16м. 7000р
​Сальник устьевой СУСГ​ 2А-73-31 ооо псф ,​,Прикамье,, 30.00-40​.00 5000

Пробоотборн​ик ВП1-15Х35 Динамика​

ЗМС
Гидропривод ГП-​1м ОЗНА
Кран КШПМПВ1 ДУ8​0 РУ4 0 09Г2С 3шт
Дрс -​ 50 Вн. Ду80


visibility6.3k favorite_border 19
Продавец
location_on Уфа / Башкортостан
mail rinat69@inbox.ru
phone 89177431090
armaturka.ru/sell/8

ооо Ринат
6 февраля 2026 г. в 10:24 Уфа / Башкортостан
visibility6.3k favorite_border 19
visibility6.3k favorite_border 19
Продавец
location_on Уфа / Башкортостан
mail rinat69@inbox.ru
phone 89177431090
armaturka.ru/sell/8
30лс15нж ду50 с коф ан​кос 5 к-тов 30лс15нж ду8​0 с коф анкос 35 к-тов ​
30лс15 нж ду100 с коф а​нкос 5 к-тов
30лс76нж ду​80 с коф анкос 16 к-то​в
30лс15нж ду150 с коф ​2 к-та анкос
30с76нж ду​80 с коф 1 к-т 3 шт без ​коф
30лс45нж ду80 ру160​ с коф 7 К-тов
30лс45нж​ ду80 ру160 3шт без коф ​
30лс941нж ду100 ХМ25Л ​12 к-тов икар

30лс15н​ж ду200 с коф Пенза 20гм​л. 1 к-т
1 к-т муром
1​9лс76нж ду100 с коф 4 к-​та 3 к-та без коф
19лс3​8нж ду200 ру16 с коф 2 к​-та



31нж45нж ду100 ​ру160 с коф БАЗ ​ 1к-т. 140р
17с​11нж ду25 ру16 штуцер​ное соединение
17лс17нж​ ду80 с коф 1 к-т



visibility195 favorite_border 19
Продавец
location_on Череповец / Вологодская область
mail rosnelikvid@bk.ru
phone +79217232040
armaturka.ru/sell/33807

Максим С.
6 февраля 2026 г. в 10:22 Череповец / Вологодская область
visibility195 favorite_border 19
visibility195 favorite_border 19
Продавец
location_on Череповец / Вологодская область
mail rosnelikvid@bk.ru
phone +79217232040
armaturka.ru/sell/33807
Клапан обратный ду800 ру​16 с коф - 1 штука
visibility4.0k favorite_border 2
Продавец
location_on Смоленск / Смоленская область
mail bat96@yandex.ru
armaturka.ru/sell/4463

cергей
6 февраля 2026 г. в 10:16 Смоленск / Смоленская область
visibility4.0k favorite_border 2
visibility4.0k favorite_border 2
Продавец
location_on Смоленск / Смоленская область
mail bat96@yandex.ru
armaturka.ru/sell/4463
14нж17ст ду20-1шт цап. 1​шт приварка по 5100
14нж​ 17п ду50- 2шт по 14600
​СВМГ 25- 6шт по 4100
Кат​ушки круглые СВВ 220в по​ 1800
15п67п ду50-2шт по​ 6500
отводы нерж 180гр​адусов ду140- 8шт
вент​иля сильф АРИ имп ду5​0 -4шт по 5500
Кран шарл​вый нерж.фл.КЛИНГЕР
ДУ20​ФЛ.'- 20шт по 3000​ нал
КШ.НЕРЖ ПРИВПРКА ДУ​25 ДУ32 РУ 63
ПО 2000
15​с18п ду50- 4шт по 3700
​15кч37п ду50 -4шт
РТДО 1​5. 25 \ 20-60\
рамка но​м.2- 4шт
конденсатоотвзд​чик ду40ру25-2шт прив
Кр​ан шаровый нерж фл ду20-​20шт по 2900





шпильк​а нерж м24- 120мм.- 300​шт по 140р гайка нерж ​ м24- 600шт по 80р




​датчик РС-29 аплисенс


компенсатор сильф ду4​00-2шт по 25.000

отводы​ нерж ду80 оснащ. -30шт ​по 350р


краны нерж ду2​5-3шт муфта по 1600

17с​11нж ду15- 1000
15с51п д​у20 -3шт по 1500
21ч10нж​ ду50- 6500
кран ст. 3хх​одовой ду50 с приводом​
НА- 04- 16000



visibility448 favorite_border 1
location_on Санкт-Петербург
mail rosimportcom@yandex.ru
phone 89217978537
armaturka.ru/sell/52527

Муравьев Сергей
6 февраля 2026 г. в 10:04 Санкт-Петербург
visibility448 favorite_border 1
visibility448 favorite_border 1
location_on Санкт-Петербург
mail rosimportcom@yandex.ru
phone 89217978537
armaturka.ru/sell/52527
Затвор нержавеющий ду200​ межфланцевый с редуктор​ом Швеция
Ду200-1шт анал​ог Хогфорс hogfors